Һ��������dz���Һ������ϵͳ����Ҫ�����������ۺ�ʽҺ�������,�ڽ���ǣ�������µ�ż����������,�䵼�ִ��ڿ�ת״̬,����ǣ������,�����Ҳ���ܳ�������ת�ظı䷽��ķ�������,��ʱ����Ҳ���ڿ�ת״̬��������,���ڱ����ȫ�����Ե��о���չ��,���е��ֿ�ת���Ե��о�����Ҫһ����Ȼ��,��������������ȳ��õ�ǣ������Ҫ����,�Ա������������̨��Ҫ��ϸ�,�ڳ������������¶Ա���������������о�ֻ�ܾ����ڽ�խ���ٱȷ�Χ��,���ҵ��ֿ�תת�ٲ���ֱ�Ӳ���,��˽����ڷ����ֶ��о����ֿ�ת���Ծͳ�Ϊ��Ȼѡ��
�����������������ֵģ�⼼����չѸ��,���ִ�ѧ[1,2]����������ѧ[3]���Ϻ���ͨ��ѧ[4]�ȸ�У���о���Ա���˴����о�,�����������������ǺϺܺ�,ʵ��֤�������������ֵģ�⼼���Ѿ���Ϊ����������о���Ԥ�����������,�����������ڱ��������(���߶����Һ��Ԫ���Ŀ�ת��)��ת���Ե��о�,һֱ���ô�ͳ����ת�����㷨(������㷨)[5,6]���з���,���趨��ֵ�����㡪�ij�ֵ�����㡭��,��η���ֱ������ת�ؽӽ����㡣���㷨�Լ������еĵ���ת�ص�����Ϊ����Ŀ��,�����ĵ���ת�ٲ�����,�������Ի�õ��ֿ�ת�ı����ת������,���ҿ��Եõ����ֿ�תת��ֵ,������������Ŀ�϶����˲̬���ʱ,ÿ�������ʱ�ܳ�,��η������㹤���߷�,���ܿ��ٻ����Ӧ�����µı�����������ԡ�
�������ȷ����˵����ڱ��������Һ��ѭ���еĵ�������,�ڴ˻��������һ�ֲ������ڵ��ֿ�תת�ٵķ��淽��������ҶƬ��,���ø÷����ʹ�ͳ����ת�����㷨�Ա�������ֿ�ת���Խ����˷��档
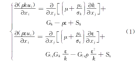
Һ��������ڲ������ɰ���Բ���ѹ����������˶�����,�����ϳ�����Reynoldsƽ����(RANS)���������������˶�,��ReynoldsӦ����Ĵ�����,����CFD���������Boussinesq��������ٶ�,��ReynoldsӦ����ʾ���Ķ��ȵĺ���,��ô�������������Ĺؼ�����ȷ���Ķ��ȡ����IJ��ù����ϴ�����Բ���ѹ������õ�������ģ�ͱ�k-��ģ��[7]�������Ķ��ȡ�����̬������,���Ը�����,�����˷���[8]���Ա�ʾΪ
ʽ��:Gk������ƽ���ٶ��ݶ�������Ķ���k�IJ�����;G1����G2��Ϊ���鳣��;��k�������ֱ������Ķ���k�ͺ�ɢ�ʦŶ�Ӧ��Prandtl��;Sk��S�����û������Դ�
�����ǻ�������,����Ʒ�����ֻ�������Է��̺Ͷ����������,�ɱ�ʾΪ[9]
ʽ��:
Ϊ�������,���������Է��̦�=1,���ڶ�������
Ϊ��ɢϵ��,�����������̦�=0,���ڶ������̦�=��+��t,��Ϊ������,��tΪ�Ķ���;
Ϊ�ٶ�����;SΪ����Դ��;��Ϊ����Һ���ܶ�;��Ϊ���ܶ����ӡ�
��Һ���������,���ڵ��ֵĴ���,���������������ֺ͵�������֮��ƽ�⡣�ڵ��̶ֹ�ʱ,�����������������ͬ��,ʹ���������ش��ڱ�������,�Ӷ�ʵ�ֱ�����á����ֶ�Һ���ĵ�������,���Դ�����(�������ת�����ڵ�ƽ��)������(������ƽ�еĽ���)����������������
��������,��������֡����ֵ��ڡ��һ����Һ������ѭ��Բ��,���ڵ����ڡ���ĵ�������,������������Һ���������ѭ��Բ������������ر��ֹ���ǻ,������һ��ѭ��,��ͼ1��ʾ(ͼ�����ߴ���Һ������,��ͬ)�����۵����ǿ�ת���ǹ̶�,�����ڡ�������ֵ�������ʼ�մ��ڡ�
��������,���ڵ���ҶƬ�Ĵ���,�����̶ֹ�,��������ҶƬ����ƽ��,��ͼ2��ʾ;�����ֿ�ת,���ת�����ؿɽ���Ϊ��,����ҶƬ��Һ���ĵ���������,Һ��������Ϊ�ǰ��ս��뵼��ʱ�ij�ʼ��������,���ս�����ֹ���ǻ��
����֮��,����ҶƬ���������Թ���Һ�廹�г����Ħ������,��������ֻ���ڵ��̶ֹ�ʱ�Ż�������,���ڵ��ֿ�תʱ,����������Բ�ܷ����Ч������,����Ҫ�����ڵ�����Һ�������¿�������ת����Ե��,��������ѭ��Բ�����ϵ�������������������һ���ij����Ħ�����á�
| ͼ1 �����������ڵĵ�������Fig.1 Stator��s flow-guiding effect on axial plane |
| ͼ2 �����������ڵĵ�������Fig.2 Stator��s flow-guiding effect on stream surface |
���ڵ��ֵ������÷���,�����ֿ�תʱ,����ҶƬ����Һ���ĵ������ÿ��Ժ���,ֻ����������Һ���ĵ������á���˿��Խ�����ҶƬȥ��,���ҽ�ȥ��ҶƬ�ĵ�������ģ�̶�,���������ģ����ͼ3��ʾ��
ͼ4��ʾ���Ǵ�ͳ���㷨ģ��,ͼ3��ͼ4��ʾ����ģ�;��ǰ��ո�������ҶƬ��Ŀ,��ȡһ��ѭ����Ԫ������ģ��,�����ѭ���ԳƱ߽���չ�����������֡����û��ƽ�淨[10]���з���,����ģ��ѡ�ñ�k-��ģ�͡��ڱ�������������,���ֺ�����ҶƬ���ڡ���������Ʊ߽�(No slip wall)����,���Ե����ڡ�������Һ����ѭ��Բ����ij����Ħ������,�������ڡ���趨Ϊ���ɻ��Ʊ߽�(Free slip wall),����ͳ���㷨ģ���а��������ڡ�����ڵ����й���������Ϊ���Ʊ߽硣
�����Ǵ�ͳ���㷨������ҶƬ��,����Ҫ�ڱ��֡����ֺ͵��������֮���趨������,������ҶƬ�����ֺ�����������봫ͳ���㷨��ȫ��ͬ,ֻ�е���ȥ����ҶƬ,��������ڲ��Ż���ֲ���,��������-���֡�����-��������������Ա��������غ㡣
| ͼ3 ��ҶƬ��������������ģ��Fig.3 Fluid modal used in bladeless method |
| ͼ4 ��ͳ���㷨ģ��Fig.4 Fluid modal used in traditional method |
�����о�����Ϊij��Ԫ���ۺ�ʽҺ�������,��Чֱ��Ϊ430 mm,���õĹ������ܶ�Ϊ835 kg/m3,������Ϊ0.0102 Pa��s���ڱ��ֺ㶨ת��(2000 r/min)��,����ת�ٰ���ת�ٱ��趨,������ҶƬ��,����ת���趨Ϊ0,�������㷨,����ת����Ҫ����趨����,ֱ������ת��Ϊ�㡣���о��������ת�ٱ�Ϊ0.85���ҿ�ʼ����ż��������,���ֿ�ʼ��ת��
���ڽ�����ȵ���������,Ӧ��ͼ3��ͼ4��ʾ�ķ���ģ��,�ֱ������ҶƬ������ͳ���㷨���ַ��淽����ת�ٱ�Ϊ0.85~1.7�ĸ������ֿ�ת����������˷���,���رȵķ�������ͼ5��ʾ��
ͼ5�и�����ת�ٱȴ�0��1.0�����������Լ����㷨������,�����ʾ��ͳ�����㷨ģ�;��нϸߵķ��澫�ȡ���ת�ٱ�Ϊ1.0�Ժ�(������������,δ�ܸ�������ֵ),���Կ�����ҶƬ�������㷨�ķ������ǺϺܺ�,���������С��3%��
ͼ6�����˴�ͳ�����㷨����ҶƬ�����ַ��淽��������ı��ֺ�����ת�ؼ������ĶԱ���������п��Կ�������ҶƬ���ʹ�ͳ�����㷨�õ��ı�������ֺ�����ת��ֵ����һ��,����ҶƬ���õ��ı��ֺ�����ת��ֵ(����ֵ)�Դ������㷨����ֵ,���������С��10%��
ͼ7�����������㷨����ҶƬ������õ���ѭ�������ԱȽ��,���п��Կ������ַ����������ѭ����������һ��,����ҶƬ������õ�����ֵ(����ֵ)�����㷨�Ľ����С,�������С��10%,���ֲ������������ҶƬ�������˵���ҶƬ,ʹ�õ��ֹ���ǻ�ļ����ݻ�����,Һ������������ʱ��ѭ�������е������ݻ���ʧ����,��ѭ��������һ���ļ������á�
����ҶƬ���������ѭ������(����ֵ)��С����ת�����㷨,��ת��ֵȴ�Դ�,��������������������������͡�������ת��Ϊ��(��ʱ����ת�غͱ���ת�ػ������),����㹫ʽ[11]Ϊ
ʽ��:MTΪ����Һ��ת��;QΪѭ������(����ʱ�������ֵ����);RB2��RT2Ϊ���ֺ�����ѭ��Բ���ڰ뾶;FB2��FT2Ϊ���ֺ�����ѭ��Բ���ڴ��������ٶ��ഹֱ�����������;��B2����T2Ϊ���ֺ�����ҶƬ���ڽǡ����о�������IJ���ȡֵ����:RB2=0.215 m;RT2=0.039 m;FB2=0.051 m2;FT2=0.051 m2;��B2=65��;��T2=150�㡣
���ݱ�����IJ���,�ڶ�Ӧ���ֿ�ת�ı�����ٱȷ�Χ(0.85<i<1.0��i>1.0)��,���ѵõ�:
������ת�ؾ���ֵ��ѭ����������ֵ�ĵݼ�����,�������ҶƬ���������ѭ����������ֵƫС,��Ȼ���ת��ֵƫ�ɼ�,��ҶƬ������������뾭���������۵�Ԥ�������
��ҶƬ�����ڱ����˵����ڡ����ĵ�������,�����˵���ҶƬ�ĵ�������,�������Ҫ�趨����ת��(Ĭ��Ϊ0),Ҳ����Ҫ�����㷨���������ĵ���ת�ٽ������㡣��ҶƬ���䲻��ֱ�ӻ�õ��ֵĿ�תת��ֵ,���ڵ��ֿ�תʱת��Ϊ��ļ�����,���ֿ�תת��Ӧ���뵼�ֹ���ǻ�ڲ�����ľ����ٶ���Բ�ܷ���ķ������,Ϊ�˿��Դӵ��ֹ���ǻ����ȡ�д����ԵĿռ����Ϊ��������Բ�ܷ��ٶȵļ�ص�,��Щ�ʵ�ֱ��ΪPoint_A��Point_B��Point_C��Point_D��Point_O,��5�����ڵ��ֹ���ǻ�ڵ�λ����ͼ8��ʾ,ͼ8(a)��ʾ����5����ص��������ڵĶ�Ӧλ��,ͼ8(b)��ʾ����5����ص��������еĶ�Ӧλ�á�
����ҶƬ�������зֱ���ȡ����5����ص������Բ�ܷ��ٶ�,��������ת�ٱȵı仯�����ͼ9��ʾ��ͼ9��S�����������㷨��õĵ���ת��,��֪��ת�ٱ�Ϊ1.0����,��ص�Բ�ܷ��ٶȱ仯����,������ת�ٱ�λ�ñ仯ƽ��������������ת�ٱ�Ϊ1.0����,�����ѭ����������ı�(��ͼ7),����Һ�崦��������ѭ���Ĺ��ɽ�,����״̬�����ȶ����¡���ת�ٱ�С��1.1ʱ,λ�ڵ���ҶƬ������ļ�ص�Point_C��Բ���ٶ������㷨�����ӽ�,�����������������������״̬��,��������Լ�����ǻ��������ת�����������뵼��ʵ��ͬ��,��Point_C���ڵ��ֳ���,��Һ����ѭ�����յ�,���徭���뵼�ֵij����������ת�ٶ��뵼��ת����ӽ���
��ת�ٱȴ���1.1���ϽϿ���ת�ٱȷ�Χ��,�ȶ��ķ�ѭ���Ѿ�����,5����ص㴦������Բ�ܷ��ٶ��������㷨�õ���ת��ֵ���Ʊ���һ��,����λ�ڵ����м����ϵļ�ص�Point_O��Բ�ܷ��ٶ��������㷨��õĵ���ת��ֵ�dz��ӽ�,�������ʼ����3%����,��ص�Point_O��Y����(��ͼ8(a))���ٶȷ�������Ϊ0,�������ȶ���ת�ٱȷ�Χ��,����Z�᷽���ת���뵼�ֵĿ�תת����ӽ���
������������,������ҶƬ��ȷ�����ֿ�תת��ʱ,��ǣ��������ż������(ת�ٱ�0.85~1.0)Ӧȡ���ֳ��ڴ���Point_C��ص����۲��ת��,�ڷ�ת����(ת�ٱȴ���1.0),Ӧȡ�����м���洦�ļ�ص�Point_O���۲��ת�١���������ص�λ��������,����ҶƬ��ȷ�����ĵ���ת����ͼ10��ʾ,ͼ��n������Ӧ����ת��,��polyfit���������ݵ������С���˷�����3�ζ���ʽ��ϵ�����,��bladeless������ҶƬ���������ͼ10���Կ������ַ���ȷ�����ĵ���ת�ٵ�������߽�Ϊ�ӽ�,�������С��5%��
��ҶƬ��ͨ������ѡ���ص�ķ���ȷ��������ת��,������ת�����о�ʱ,����ֱ�Ӳ��õ��ֹ���ǻ�м���洦Y�ٶȷ���Ϊ��ĵ�(��ͼ8(a)��Point_Oλ��)��Ϊ����ת�ٵļ�ص�,�������Է����ȷ����Ӧ�ĵ���ת�١�
| ͼ5 ��ر�Kֵ�ķ�����������Fig.5 Moment ratio results of simulation and experiment |
| ͼ6 �����ַ���������ı��ֺ�����ת��ֵFig.6 Moment value of pump and turbine wheel obtained by two methods |
| ͼ7 �����ַ����������ѭ������ֵFig.7 Circulation flow calculated by two methods |
| ͼ8 5����ص��λ�ò���Fig.8 Position layout of five monitoring points |
| ͼ9 ��ص�����ת�������㷨�ĵ���ת�ٶԱ�Fig.9 Comparison between rotation velocity of monitoring points�� fluid and stator wheel�� speed calculated by traditional method |
(1)ͨ���봫ͳ��ת�����㷨�ķ������Ա�,���Կ������ڶԵ��ֵ������÷����������ҶƬ���淽���Ǻ�����еġ���ҶƬ����Ԥ��ֿ�ת�������Է�����������㷨��ӽ��ķ��澫��,�����跴������,����ʡ�˼���ʱ�������,����һ���Ĺ���ʵ�ü�ֵ��
(2)��ҶƬ���淽����������ֱ��ȷ�����ֿ�תʱ������ı�����ԡ�ѭ����������,���һ�����ͨ���趨��ص������ȷ������ת��,Ϊ�������ת�ֹ��������о��ṩ��һ����˼·��
| [1] |
|
| [2] |
|
| [3] |
|
| [4] |
|
| [5] |
|
| [6] |
|
| [7] |
|
| [8] |
|
| [9] |
|
| [10] |
|
| [11] |
|
