������Ӫ�ڵ�����,�������еķ���,�Ǻ��Ѷ�ԤӦ�������ȷ��ԤӦ����ֵ���в��Եġ�����Ƶ�ʶ�ԤӦ��ֵ����һ����������,������������Ƶ�ʶ���ЧԤӦ������ʶ����һ����Ч�ķ���[1,2]��
��ͳ�Ĺ۵���ΪԤӦ���ᵼ�¡�ѹ������ЧӦ,����������ѹ�����õIJ�Ŭ��-ŷ������������ģ���Ƶ�����ԤӦ��������Ƶ�ʹ�ʽ�ļ���������,ԤӦ���ᵼ����������Ƶ�ʼ�С��Ȼ��,�ڹ��������ԤӦ����֧���Ķ���������,���Գ������Ĺ���Ƶ��������ԤӦ��ֵ������������,���뾭�����ۼ������෴[3,4]����Դ�����,���о��������һ�ֽ���:���ڻ������������������������Լ��湹��һ���ƶ��Ķ������ö��������������,ԤӦ��������ʹ��Щ�ѷ�պ�,���������������ƶ�,�����ն�����,�Ӷ��������Ļ�Ƶ����[5,6]���������ָն�������ۺ���������,�������о����������ԤӦ�����������ĸն�����ģ��[7,8]����Ȼͨ���ն�����ģ�ͼ����������Ƶ�����������ǺϽϺ�,���Ǹն�������ʽ��Ȼ�Ǿ����Ե�,����֧�Ų����걸,���߱��ձ������ԡ�
��������,����δ�γ�ȷ������������Ƶ����ԤӦ��ֵ�Ķ�����ϵ[9,10]�������Դ�Ϊ�����,ͬʱΪ�ܿ����������Ŀ��Ѷ�������Ƶ�ʵ�Ӱ��,����ֱ�߲����ԤӦ��������Ϊ�о�����,��������Ԫ����,�����Ϊ������ԤӦ���ֽ���������������ϵͳ,����������ԤӦ��������������Ԫģ�͡����Dz�ͬԤӦ��ֵ��ԤӦ���ͬƫ�ľ಼��,��ԤӦ���������ж������������ͨ������������ԤӦ����С������Ƶ�ʵ�Ӱ����ɼ�Ӱ��̶ȡ�.
��ͳ��ԤӦ��������������Ƶ�����۷�������ͼ��ͼ1��ʾ��
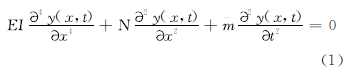
��ԤӦ��������Ϊ�����ڽṹ�ϵ�һ������,����ƽ����ٶ�,�������������������ַ���Ϊ
ʽ��:y(x,t)Ϊ����ʱ������Ӷ�;NΪ��Ч����������;
Ϊ���ķֲ�������
��ʽ(1)�������,�ɵõ���������Ƶ��Ϊ
ʽ��:n=1,2,3,��;EIΪ���Ŀ���ն�;LΪ������
��ʽ(2)�п��Կ���,���ĸ�������Ƶ�ʾ�����ԤӦ��ֵ���������С���˼��㹫ʽ��ԤӦ����Ϊ���������������,��ʵ����ԤӦ������һ����ƽ����ϵ�����,���ô˷����������ԤӦ��������������Ƶ�ʻ���ڽϴ����
| ͼ1 ��֧�����ⲿ����ѹ�������µ�������Fig.1 Free vibration of simply supported beam under external axial compressive force |
Ϊ�˽���������ԤӦ��������Ƶ����ԤӦ��ֵ��������������,Saiidi��[3]ͨ��ģ������,��ʵ�����ݽ��лع����,�ó������նȵ�����ʽΪ
ʽ��:
.
���ڻ��пƼ���ѧ����ҫͥ����[6]������IJ���ԤӦ�������ճ��ԤӦ���������������˶�������,�������:�������õ�ԤӦ��ֵ��0�仯��88 kN,���������Ļ�Ƶ����9.7%��������5��ȫԤӦ�����Ķ�������,�õ������ƵĽ��:ȫԤӦ�����Ĺ���Ƶ������ԤӦ�������Ӷ����ӡ�Ϊ��,����������,��������µ�ԤӦ���ն�������ʽ:
���ڶ���ѧ�߶�ͬ����������ķ���,�ó��˶��ֵ�ԤӦ�����������նȼ���������ʽ������Щ������ʽ���Կ���,��Ȼͨ���ն�����ģ�ͼ����������Ƶ�ʿɽϺõط���������,���Ǹն�������ʽ��Ȼ�Ǿ����Ե�,����֧�Ų����걸,���߱��ձ������ԡ�
�
���ھ������ۺ������������෴�Ľ���,�����е����۲����ܺܺõؽ��Ͳ������ַ������Ҫԭ�����,������������Ԫ��������ԤӦ���Լ�֧��������Ƶ�ʵ�Ӱ�졣�ڷ�����,Ϊ�ܿ����������Ŀ��Ѷ�������Ƶ�ʵ�Ӱ��,����ֱ�߲����ԤӦ��������Ϊ�о�����ԤӦ�������ߴ���ͼ2��ʾ,���иֲ��ͺ�ΪQ345QE,ԤӦ������æ�s15.2�ֽ���,��ǿ��Ϊ1860 MPa;ê�̴��Ӿ��ߺ�20 mm,����Ӿ��ߺ�6 mm;eΪԤӦ�����ƫ�ľࡣ�����ĸ�������Ԫģ����ͼ3��ʾ��
������Ԫģ����,��������ʵ�嵥Ԫ,��Ԫ����ΪSOLID45,�����ܳ�4.15 m,Ϊ�����ͺ����,�ֲ��ͺ�ΪQ345��ԤӦ�������link8��Ԫ,�ڸ�����������ԳƲ���,������2��,�������Ϊ139 mm2,ԤӦ���ֽ��߱�ǿ��Ϊ1860 MPa��ԤӦ�����ê�̼�������ĽӴ�������Ϸ���������ԤӦ���������ê�̶�,ԤӦ����ڵ���˴������߰������X��Y��Z�����������ɶ�(����Z����Ϊ��������);��ԤӦ�����ê�̶˴��������߰崦,���ԤӦ���������߰����X��Y�����������ɶȡ����ô�ģ�ͽ�����ԤӦ��ģ̬������
| ͼ2 ԤӦ�������ߴ�Fig.2 Dimensions of prestressed reinforcement |
| ͼ3 ��������Ԫģ��Fig.3 Finite element model of steel beam |
Ϊ�˷���ԤӦ��ֵ��С�Ը�������Ƶ�ʵ�Ӱ��,����ԤӦ�����������IJ��õķ�ʽ,������ͬԤӦ������ֵ�����µĸ�������Ƶ�ʡ������������1��ʾ��
����1�ɿ���,����һ��Ƶ������ԤӦ��ֵ�����������ԤӦֵ��0����20 kNʱ,һ��Ƶ������10.03%�����,��ʹ�����������IJ���ԤӦ����,��ԤӦ���Ĵ�С�Զ���������Ƶ���бȽ����Ե�Ӱ�졣
Ϊ�˷���ԤӦ����С��������Ƶ�ʵ�Ӱ�����,������С���˷��Բ�ͬԤӦ��ֵ�¸�����Ƶ���ݽ������,���������ͼ4��ʾ���õ������¸�����Ƶ��ԤӦ��ֵ��С�ĺ�����ϵ:
������ϵ��R2Ϊ0.9957,���������,���Ч�����á���ʽ(5)���Կ���,������Ƶ��ԤӦ��ֵ������ʷ���������,���Ǵ�ͳ�����е����Լ�С��ϵ��
| ��1 ��ͬԤӦ��ֵ�¸���һ��Ƶ��Table 1 Nature frequency of steel beam under different prestress |
| ͼ4 ��ͬԤӦ��ֵ�¸���һ��Ƶ��Fig.4 Nature frequency of steel beam under different prestress |
Ϊ�˷���ԤӦ�����λ�öԸ�������Ƶ�ʵ�Ӱ��,����ԤӦ���ͬƫ�IJ��õĸ�������Ԫģ��,�������ڲ�ͬԤӦ��ֵ����������Ƶ�ʡ��õ��ķ����������2��
������2�е�����,��������һ��Ƶ����ԤӦ��ֵ��ԤӦ�����ƫ�ľ�仯�Ķ�Ԫ����ͼ(��ͼ5),�Լ���ͬԤӦ��ֵ�����¸���һ��Ƶ����ԤӦ������ƫ�ľ�仯�ı仯ͼ(��ͼ6)��
��ͼ5��ͼ6�ɿ���:��ԤӦ��ֵ��ͬ�������,����ԤӦ�����ƫ�ľ������,����һ��Ƶ������;����ͬ����ƫ�ľ಼��,����һ��Ƶ�ʾ���ԤӦ��ֵ�����������
| ͼ5 ��ͬԤӦ��ֵ����ͬƫ�ľ��¸���һ��Ƶ��Fig.5 Nature frequency of steel beam with different eccentricity under different prestress |
| ��2 ��ͬԤӦ��ֵ����ͬƫ�ľ��¸���һ��Ƶ��Table 2 Nature frequency with different eccentricity under different prestress |
| ͼ6 ��ͬԤӦ��ֵ�����¸���һ��Ƶ����ԤӦ������ƫ�ľ�ı仯����Fig.6 Change curve of nature frequency with eccentricity of prestressed steel under the same prestress |
Ϊ�˷���ԤӦ���Լ�֧������Ƶ�ʵ�Ӱ�����,���IJ�������Ԫ����,������ͬԤӦ��ֵ�Ͳ�ͬԤӦ�����λ���µĸ�������Ԫ����ģ��,�Ը���������ԤӦ��ģ̬�����������������:���ظ����������IJ���ԤӦ���������,�����Ļ�Ƶ��ԤӦ��ֵ��������ַ���������Ĺ�ϵ;���ò�ͬƫ�ľ಼��ԤӦ�������,����һ��Ƶ�ʾ���ԤӦ��ֵ�����������;��ԤӦ��ֵ��ͬ�������,����ԤӦ�����ƫ�ľ������,����һ��Ƶ���������,������������Ƶ�ʶ���ЧԤӦ������ʶ���ǿ��е�,��������и�����������о���
| [1] |
|
| [2] |
|
| [3] |
|
| [4] |
|
| [5] |
|
| [6] |
|
| [7] |
|
| [8] |
|
| [9] |
|
| [10] |
|
