Journal of Jilin University(Engineering and Technology Edition) ›› 2025, Vol. 55 ›› Issue (6): 2138-2144.doi: 10.13229/j.cnki.jdxbgxb.20240563

Previous Articles    

Dynamic allocation algorithm of spectrum resources in high⁃dimensional wireless multi⁃user communication networks

Yun GAO(),Jian-hui ZHOU,Yan-ping GUO   

  1. School of Computer and Network Engineering,Shanxi Datong University,Datong 037009,China
  • Received:2024-05-27 Online:2025-06-01 Published:2025-07-23

Abstract:

In high-dimensional wireless multi-user communication networks, there is a problem of unreasonable spectrum resource allocation, which leads to uneven network load and unstable communication quality. Traditional spectrum resource allocation methods can not respond to dynamic changes in user needs in real time, resulting in low utilization efficiency of spectrum resources. Therefore, a dynamic allocation algorithm for spectrum resources in high-dimensional wireless multi-user communication networks was proposed. By determining the dynamic allocation program of spectrum resources, while considering the goals of communication network load balancing and communication quality, a dynamic allocation objective function of spectrum resources was constructed, and its constraint conditions were explained. An improved genetic algorithm was introduced to solve the objective function and the optimal solution for dynamic allocation of spectrum resources was obtained. The experimental results show that the maximum spectrum resource utilization rate obtained by the proposed algorithm reaches 95%, and the spectrum resource allocation results are consistent with the actual results, fully confirming that the proposed algorithm has better spectrum resource allocation performance.

Key words: spectrum resources, user needs, network performance, high-dimensional wireless multi-user communication network, dynamic allocation

CLC Number: 

  • TN929.5

Fig.1

Flow chart for solving the objective function of dynamic allocation of spectral resources"

Fig.2

Schematic diagram of high-dimensional wireless multi-user communication network model"

Table 1

Spectrum resources table"

代码频段频段名称
ζ1300~3 000 Hz特低频
ζ23~30 kHz甚低频
ζ330~300 kHz低频
ζ4300~3 000 kHz中频
ζ53~30 MHz高频
ζ630~300 MHz甚高频
ζ7300~3 000 MHz特高频
ζ83~30 GHz超高频
ζ930~300 GHz极高频
ζ10300~3 000 GHz至高频

Fig.3

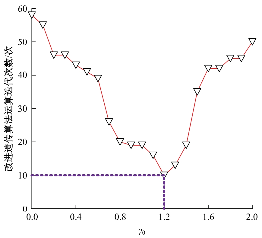
Relationship between γ0 parameter and iteration times of improved genetic algorithm operation"

Fig.4

Schematic diagram of spectrum resource utilization"

Table 2

Schematic table of spectrum resource allocation results"

频谱资源实际结果本文算法对比算法1对比算法2
ζ12,82,852,8
ζ25595,15
ζ39,159,152,154
ζ410,1110,111010,11
ζ51,41,41,41,9
ζ612121212,14
ζ7666,86
ζ813131313
ζ93,143,143,143
ζ10777,117
[1] 吴钢, 周金辉, 李慧. 面向边缘增强分布式电力无线传感网的资源分配[J]. 中国电力, 2023, 56(8): 77-85.
Wu Gang, Zhou Jin-hui, Li Hui. Resource allocation for edge-enhanced distributed power wireless sensor network[J]. Electric Power, 2023, 56(8): 77-85.
[2] 方海, 高媛, 赵扬, 等. 卫星边缘计算中任务卸载与资源分配联合优化算法[J]. 小型微型计算机系统, 2023, 44(6): 1214-1219.
Fang Hai, Gao Yuan, Zhao Yang, et al. Joint optimization of task offloading and resource allocation in satellite edge computing[J]. Journal of Chinese Computer Systems, 2023, 44(6): 1214-1219.
[3] 毛忠阳, 孙林, 刘锡国, 等. 信息优先级保护的动态频谱分配算法[J]. 电讯技术, 2022, 62(8): 1023-1028.
Mao Zhong-yang, Sun Lin, Liu Xi-guo, et al. An nformation riority-protected ynamic pectrum llocation lgorithm[J]. Telecommunication Engineering, 2022, 62(8): 1023-1028.
[4] 王岳, 王乐, 孙文洋, 等. 改进蜉蝣算法求解认知车载网络频谱分配问题[J]. 计算机工程与设计, 2023, 44(10): 3012-3020.
Wang Yue, Wang Le, Sun Wen-yang, et al. Using improved mayfly optimization algorithm to solve spectrum allocation problem of cognitive vehicular network[J]. Computer Engineering and Design, 2023, 44(10): 3012-3020.
[5] 徐勇军, 姜思巧, 张海波, 等. 基于硬件损伤的认知反向散射通信网络鲁棒安全资源分配算法[J]. 电子与信息学报, 2024, 46(2): 652-661.
Xu Yong-jun, Jiang Si-qiao, Zhang Hai-bo, et al. Robust secure resource allocation algorithm for cognitive backscatter communication with hardware impairment[J]. Journal of Electronics & Information Technology, 2024, 46(2): 652-661.
[6] 孙林, 毛忠阳, 康家方, 等. 基于最大化能效的海上中继通信频谱分配算法[J]. 系统工程与电子技术, 2022, 44(8): 2661-2667.
Sun Lin, Mao Zhong-yang, Kang Jia-fang, et al. Energy efficiency maximization-based spectrum allocation algorithm for maritime relay communication system[J]. Systems Engineering and Electronics, 2022, 44(8): 2661-2667.
[7] Mai L, Pham Q V, Kim H C, et al. Enhanced Resource allocation in D2D communications with NOMA and unlicensed spectrum[J]. IEEE systems journal, 2022, 16(2): 2856-2866.
[8] 陈波, 张志华. 融合智能算法的软件定义网络负载均衡控制[J]. 计算机仿真, 2023, 40(3): 405-408.
Chen Bo, Zhang Zhi-hua. Software defined network load balancing control with intelligent algorithm[J]. Computer Simulation, 2023, 40(3): 405-408.
[9] 王改花, 谢健骊, 李翠然. 基于博弈资源分配的认知异构网络干扰协调算法[J]. 计算机应用研究, 2023, 40(1): 244-248.
Wang Gai-hua, Xie Jian-li, Li Cui-ran. Interference coordination algorithm for cognitive heterogeneous networks resource allocation based on game theory[J]. Application Research of Computers, 2023, 40(1): 244-248.
[10] 黄兴, 张文杰, 李曦, 等. 一种面向电力物联网的认知D2D网络能效资源分配算法[J]. 电测与仪表, 2023, 60(2): 97-103.
Huang Xing, Zhang Wen-jie, Li Xi, et al. Energy-efficient resource allocation algorithm for cognitive D2D networks for power IoT[J]. Electrical Measurement & Instrumentation, 2023, 60(2): 97-103.
[11] 葛瑞林, 江亮, 陈铭毓, 等. 基于图着色模型的弹性光网络频谱分配算法[J]. 光通信技术, 2023, 47(2): 59-63.
Ge Rui-lin, Jiang Liang, Chen Ming-yu, et al. Spectrum allocation algorithm for elastic optical networks based on graph coloring model[J]. Optical Communication Technology, 2023, 47(2): 59-63.
[12] 张钰, 赵雄文, 王晓晴, 等. 多载波NOMA安全通信系统稳健性资源分配算法[J]. 通信学报, 2022, 43(3): 42-52.
Zhang Yu, Zhao Xiong-wen, Wang Xiao-qing, et al. Robust resource allocation algorithm for multicarrier NOMA security communication system[J]. Journal on Communications, 2022, 43(3): 42-52.
[13] 刘焕淋, 王展鹏, 陈勇, 等. 物理损伤感知的多芯光纤网络动态路由资源分配方法[J]. 电子学报, 2022, 50(2): 502-507.
Liu Huan-lin, Wang Zhan-peng, Chen Yong, et al. Physical impairment aware-based dynamic routing resource allocation method for multi-core fiber network[J]. Acta Electronica Sinica, 2022, 50(2): 502-507.
[14] 晋春, 毛罕平, 马国鑫, 等. 基于改进遗传算法的温室环境动态优化控制[J]. 江苏大学学报: 自然科学版, 2022, 43(2): 169-177.
Jin Chun, Mao Han-ping, Ma Guo-xin, et al. Dynamic optimal control of greenhouse environment based on improved genetic algorithm[J]. Journal of Jiangsu University (Natural Science Edition), 2022,43(2): 169-177.
[15] 蔡一峰, 蓝求旺, 陈尚君, 等. 一种串扰感知的空分复用弹性光网络频谱分配算法[J]. 光通信技术, 2022, 46(5): 20-24.
Cai Yi-feng, Lan Qiu-wang, Chen Shang-jun, et al. Crosstalk-aware spectrum allocation algorithm for space-division multiplexing elastic optical networks[J]. Optical Communication Technology, 2022, 46(5): 20-24.
[1] Lei PAN,Lan CHEN,Sheng-li ZHU,Wen-yan TONG. A new algorithm for OFDM timing synchronization and hardware implementation optimization [J]. Journal of Jilin University(Engineering and Technology Edition), 2022, 52(11): 2728-2734.
[2] Hong-liang SUN,Wei-da SHEN,Ling-ling CHEN. Bandwidth compensation algorithm for mixed services under delay quality of service constraint [J]. Journal of Jilin University(Engineering and Technology Edition), 2022, 52(8): 1912-1917.
[3] Jian-po LI,Peng XUE,Tao YANG,Mei-lin LI. Pilot contamination suppression method for massive MIMO system based on divided pilot reuse [J]. Journal of Jilin University(Engineering and Technology Edition), 2021, 51(6): 2225-2236.
[4] Yi-jun WANG,You-xu ZHANG,Rui-xin MIAO,Jia-min DOU. D2D resource allocation algorithm based on system outage probability in 5G [J]. Journal of Jilin University(Engineering and Technology Edition), 2021, 51(1): 331-339.
[5] Jin-peng WANG,Zheng-peng YE,Fan CAO,Nian-yu ZOU. Cooperative distributed antenna transmission method based on co-channel interference in 5G mobile communication system [J]. Journal of Jilin University(Engineering and Technology Edition), 2020, 50(1): 333-341.
[6] Cui-ran LI,Yong-sheng YU,Jian-li XIE. Dynamic game algorithm for spectrum sharing based on priority of secondary users [J]. Journal of Jilin University(Engineering and Technology Edition), 2020, 50(1): 315-323.
[7] Yi LIU,Ling-ling XIAO,Gai-jing WANG,Wu-jun ZHANG. Resource allocation algorithm based joint optimization for D2D communications in cellular networks [J]. Journal of Jilin University(Engineering and Technology Edition), 2020, 50(1): 306-314.
[8] Hong⁃zhi WANG,Fang⁃da JIANG,Ming⁃yue ZHOU. Power allocation of cognitive radio system based on genetic particle swarm optimization [J]. Journal of Jilin University(Engineering and Technology Edition), 2019, 49(4): 1363-1368.
[9] JIANG Lai-wei, SHA Xue-jun, WU Xuan-li, ZHANG Nai-tong. Novel joint user association and resource allocation method in LTE-A HetNets [J]. 吉林大学学报(工学版), 2017, 47(6): 1926-1932.
[10] JIN Zhi-gang, WANG Jian, SU Yi-shan. Marine mammal-friendly spectrum allocation algorithm for cognitive underwater acoustic network [J]. 吉林大学学报(工学版), 2017, 47(4): 1321-1328.
[11] HAN Wei-liang, GE Jian-hua, MA Bo, GAO Yang. Precoding design to achieve capacity bound in inter-symbol-interference fading channels [J]. 吉林大学学报(工学版), 2017, 47(3): 981-987.
[12] LI Zhao, RAO Zheng-fa, CAI Shen-jin. Priority queue based two-layer centralized spectrum sharing in cooperative cognitive radio networks [J]. 吉林大学学报(工学版), 2016, 46(5): 1651-1659.
[13] LI Zhao, LI Pei-feng, CAI Shen-jin. User scheduling in cooperative downlink transmission based on dynamic relay stimulation [J]. 吉林大学学报(工学版), 2016, 46(4): 1313-1319.
[14] RI Jong-hun, SUN Xiao-ying, QU Liang-dong, LIU Yan-yan, YUN Kwang-soek. Interference suppression method of GPS receiver based on combination of hard-limiter and LMS adaptive algorithm [J]. 吉林大学学报(工学版), 2016, 46(3): 941-946.
[15] LI Zhao, LI Pei-feng. Weighted user-correlation based fair scheduling for MU-MIMO downlink [J]. 吉林大学学报(工学版), 2016, 46(3): 947-954.
Viewed
Full text


Abstract

Cited

  Shared   
  Discussed   
[1] Li Jia-fei,Liu Da-you,Yu Wan-jun . Process mining algorithm to discover duplicate tasks[J]. 吉林大学学报(工学版), 2007, 37(01): 106 -110 .
[2] Ji Changxu, Yang Nan, Hu Juanjuan,Chen Xin. Information processing in integration of urban traffic flow guidance system and traffic control system[J]. 吉林大学学报(工学版), 2006, 36(增刊1): 140 -0143 .
[3] Xie Ning, Zhao Xiao-hui, Mo Xiu-ling,Sun Yu-jing . Performance analysis of UWB receiver using Pre-Rake combining[J]. 吉林大学学报(工学版), 2007, 37(05): 1192 -1196 .
[4] Bai Li, Yin Jun, Liao Zisheng. Heat supplying system by urban sewage heat energy based on platisticAlpipeimproved[J]. 吉林大学学报(工学版), 2006, 36(02): 269 -0273 .
[5] Li Wen, Gao Feng, Sun Peng. Design of composite material wheel of planetary rover[J]. 吉林大学学报(工学版), 2006, 36(04): 502 -505 .
[6] WANG Tian-miao, MENG Gang, LIANG Jian-hong, Wen li . Highfrequency flapping of SPC series bionic robofish[J]. 吉林大学学报(工学版), 2008, 38(06): 1412 -1417 .
[7] SU Jian,LIU Yi-sheng. Application of PXI bus in the vehicle instrument performance testing[J]. 吉林大学学报(工学版), 2009, 39(增刊2): 229 -0232 .
[8] WANG Xin,JIANG Ji-hai. Regenerative braking control strategy for wheel drive hydraulic hybrid vehicle[J]. 吉林大学学报(工学版), 2009, 39(06): 1544 -1549 .
[9] Wang Jian, Ge An-lin, Lei Yu-long, Tian Hua, Yang Jian-hua. Design flow of toque converter based on three dimensional flow theory[J]. 吉林大学学报(工学版), 2006, 36(03): 315 -0320 .
[10] Qu Zhao-wei,Wang Dian-hai,Yao Rong-han . Kinematic model of start wave at signalized intersection[J]. 吉林大学学报(工学版), 2008, 38(02): 268 -0272 .