Journal of Jilin University(Engineering and Technology Edition) ›› 2026, Vol. 56 ›› Issue (1): 86-95.doi: 10.13229/j.cnki.jdxbgxb.20240669

Previous Articles     Next Articles

Controlling aerodynamic noise of macroscopic point array structure on leading edge of airfoil

Chun SHEN1(),Zhuang LI1,Jin MENG1,Xiao-wei SUN2,Cheng-chun ZHANG2(),Zheng-wu CHEN3,Dong LIANG4   

  1. 1.College of Automotive Engineering,Jilin University,Changchun 130022,China
    2.Key Laboratory of Engineering Bionics,Ministry of Education,Jilin University,Changchun 130022,China
    3.Key Laboratory of Aerodynamic Noise Control,China Aerodynamics Research and Development Center,Mianyang 621000,China
    4.Aero-Engine Academy of China,Aero-Engine Corporation of China,Beijing 101304,China
  • Received:2024-05-15 Online:2026-01-01 Published:2026-02-03
  • Contact: Cheng-chun ZHANG E-mail:shench@jlu.edu.cn;jluzcc@jlu.edu.cn

Abstract:

In this paper, a point array turbulence structure is designed at the leading-edge of the standard NACA0012 airfoil, and the bump array has obvious noise reduction effect under the condition of 20 m/s and 30 m/s at the 0° angle of attack of the incoming flow, and the speed of 20 m/s and 30 m/s. Compared with the standard airfoil, the noise reduction of the total sound pressure level of the lattice leading edge airfoil is 3.6 dB under the condition of 20 m/s incoming flow, and the noise spectrum curve of the point array airfoil is lower than that of the acoustic wind tunnel background noise at 30 m/s, while the total sound pressure level of the standard airfoil is 1.5 dB higher than that of the background noise, that is, the noise reduction of the total sound pressure level of the point array airfoil is at least 1.5 dB under the condition of 30 m/s incoming flow. The LES (Large eddy simulation)/FW-H (Ffowcs williams hawkings) acoustic comparison hybrid prediction method is used to illustrate the noise reduction mechanism of the leading-edge array airfoil from the perspective of the spread coherence of the source of airfoil surface pressure disturbance. In order to solve the problem that the acoustic wind tunnel test results under the 30 m/s incoming flow condition cannot fully reflect the real noise reduction effect of the lattice airfoil, the spectral characteristics of the sound pressure level under the 20 m/s and 30 m/s incoming flow conditions are compared by numerical methods, and it is found that the lattice structure has almost the same noise reduction effect at the two speeds. Finally, the influence of parameters such as height and number of rows on the noise reduction effect of the leading-edge array structure was systematically analyzed, which provided support for the engineering parametric design of the leading-edge array turbulence structure.

Key words: flow noise control, airfoil blades, hybrid forecasting, aerodynamic noise, flow control, directional coherence

CLC Number: 

  • TP27

Fig.1

Experimental model"

Fig.2

Mesh generation"

Fig.3

Sound pressure level at the monitoring point"

Table 1

Master peak sound pressure level and frequency comparison"

观测点数值计算试验

峰值

频率/Hz

峰值声

压级/dB

峰值

频率/Hz

峰值声

压级/dB

R_118188.617897.1
R_217588.0317895.7

Fig.4

Schematic diagram of geometry model"

Fig.5

Mesh refinement"

Table 2

Numerical simulation calculation scheme"

模型攻角/(°)

速度

v/(m·s-1

柱体

结构

高度

H/mm

排数
M0(BAS)02000
M10200.755
M2(BAS)03000
M30300.755
M40200.55
M50200.255
M60200.753

Fig.6

Coordinate location of far-field noise monitoring points"

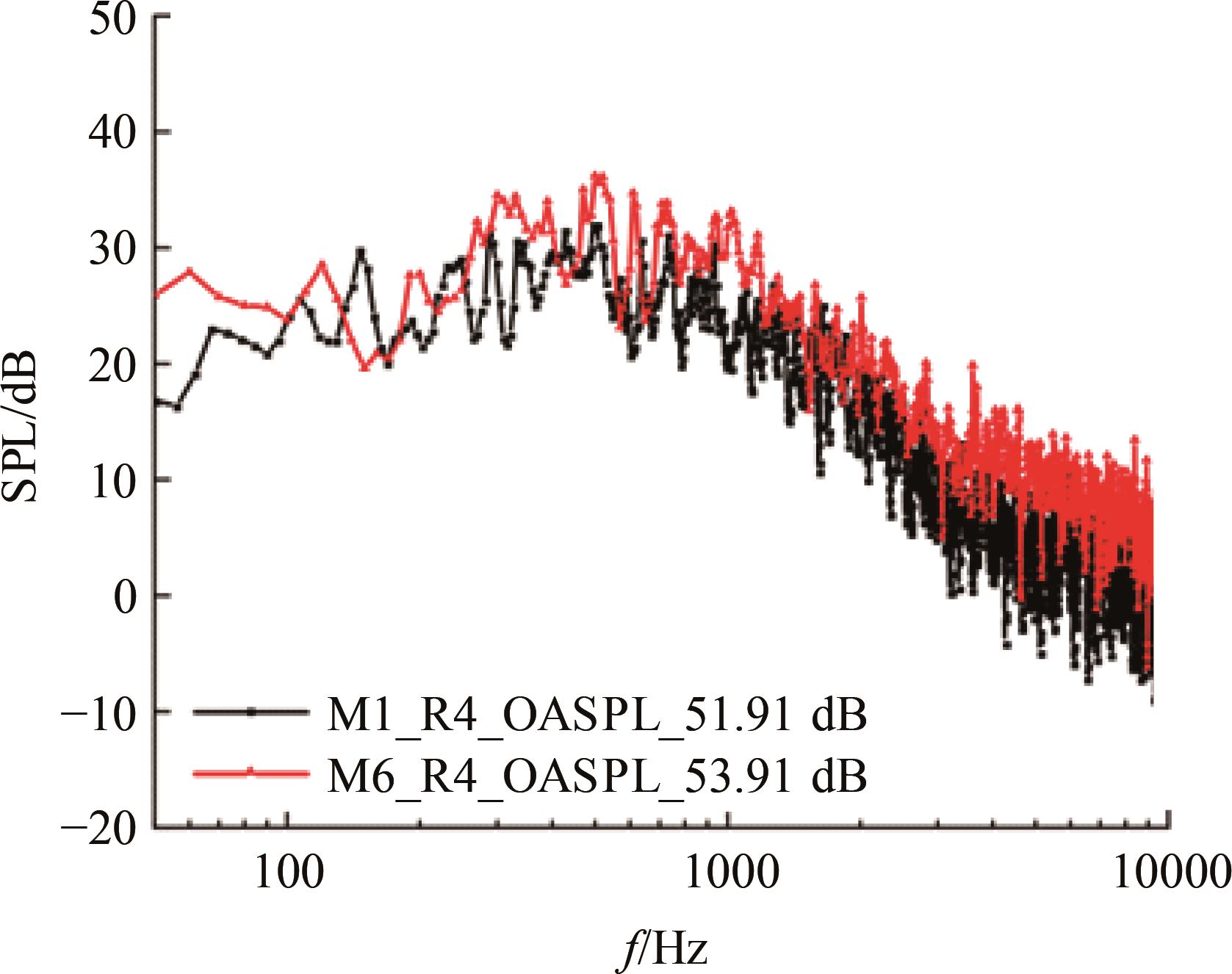
Fig.7

Spectrogram of test noise of standard model and bionic model R4 monitoring point"

Fig.8

Calculated noise spectrogram of R4 monitoring point under 20 m/s and 30 m/s conditions"

Table 3

Comparison of test data in this paper with other structural test data"

试验数据来源本文参考文献[16
峰值噪声降噪量/dB8.6711.29
总声压级降噪量/dB1.491.75

Fig.9

Structure of flow field of M0 model and M1 model(Q=100 000 s-2)"

Fig.10

Airfoil surface data collection point distribution"

Fig.11

Spreading correlation coefficients forM0 and M1 models"

Fig.12

Total sound pressure level directivity distribution diagram"

Table 4

Noise reduction for each monitoring point dB"

速度/

(m·s-1

监测点
R1R2R3R4R5R6R7
20 m/s2.246.556.426.286.546.611.93
30 m/s0.956.306.366.126.566.483.10

Fig.13

Sound pressure level of R4 monitoring point under different models"

Fig.14

Noise reduction of each monitoring point of different models"

Fig.15

Sound pressure level of R4 monitoring point under different models"

Fig.16

Noise reduction of each monitoring point of different models"

[1] Fish F E, Battle J M. Hydrodynamic design of the humpback whale flipper[J]. Journal of Morphology, 1995, 225(1): 51-60.
[2] Hansen K, Kelso R, Doolan C. Reduction of flow induced tonal noise through leading edge tubercle modifications[C]∥AIAA Paper, 2010-3700.
[3] Wang J, Zhang C, Wu Z, et al. Numerical study on reduction of aerodynamic noise around an airfoil with biomimetic structures[J]. Journal of Sound and Vibration, 2017, 394: 46-58.
[4] Howe M S. Aerodynamic noise of a serrated trail- ing edge[J]. Journal of Fluids and Structures, 1991, 5(1): 33-45.
[5] Howe M S. Noise produced by a sawtooth trailing edge[J]. The Journal of the Acoustical society of America, 1991, 90(1): 482-487.
[6] Arina R, Rinaldi R D R, Iob A, et al. Numerical study of self-noise produced by an airfoil with trailing-edgeserrations[C]∥AIAA Paper, 2012-2184.
[7] Jones L, Sandberg R. Numerical investigation of airfoil self-noise reduction by addition of trailing-edge serrations[C]∥AIAA Paper,2010-3703.
[8] 黄琪琪, 陈二云, 杨爱玲, 等. 倾斜锯齿尾缘轴流风机降噪的实验研究[J]. 动力工程学报, 2020, 40(9): 735-741.
Huang Qi-qi, Chen Er-yun, Yang Ai-ling, et al. Experimental study on noise reduction of axial fan with inclined serrated tail edge[J]. Journal of Chinese Society of Power Engineering, 2020, 40(9): 735-741.
[9] 陈伟杰, 乔渭阳, 仝帆, 等. 尾缘锯齿结构对叶片边界层不稳定噪声的影响[J]. 航空学报, 2016, 37(11): 3317-3327.
Chen Wei-jie, Qiao Wei-yang, Tong Fan, et al. Effect of trailing edge serrated structure on unstable noise of blade boundary layer[J]. Journal of Aeronautics, 2016, 37(11): 3317-3327.
[10] 汪瑞欣, 赵振宙, 王同光, 等. 锯齿尾缘DU91-W2-250风力机翼型气动及噪声特性分析[J]. 太阳能学报, 2020, 41(12): 221-228.
Wang Rui-xin, Zhao Zhen-zhou, Wang Tong-guang, et al. Analysis of aerodynamic and noise charac-teristics of sawtooth trailing edge DU91-W2-250 wind turbine airfoil[J]. Journal of Solar Energy, 2020, 41(12): 221-228.
[11] Wang J, Zhang C C, Wu Z Y, et al. Numerical study on reduction of aerodynamic noise around an airfoil with biomimetic structures[J]. Journal of Sound and Vibration, 2017, 394: 46-58.
[12] Zhang C C, Cheng W, Du T Y, et al. Experimental and numerical study on noise reduction of airfoil with the bioinspired ridge-like structure[J]. Applied Acoustics. 2023, 203: 109190.
[13] Epikhin A, Evdokimov I, Kraposhin M, et al. Development of a dynamic library for compu-tational aeroacoustics applications using the openFOAM Open Source Package[J]. Procedia Computer Science, 2016, 66: 150-157.
[14] Lockard D. Summary of the tandem cylinder sol- utions from the benchmark problems for airframe noise computations——I workshop[C]∥AIAA Paper, 2011-3053.
[15] 陈武, 周毅. 基于K-FWH声比拟方法的串列双圆柱气动噪声研究[J]. 北京航空航天大学学报, 2021, 47(10): 2118-2128.
Chen Wu, Zhou Yi. Research on pneumatic noise of tandem double cylindrical based on K-FWH acoustic analogy method[J]. Journal of Beijing University of Aeronautics and Astronautics, 2021, 47(10): 2118-2128.
[16] 杜天宇. 基于仿生流动控制的无人机螺旋桨降噪研究[D]. 长春: 吉林大学生物与农业工程学院, 2022.
Du Tian-yu. Research on noise reduction of UAV propeller based on bionic flow control[D]. Changchun: College of Biological and Agricultural Engineering, Jilin University, 2022.
[17] Amiet R K. Acoustic radiation from an airfoil in a turbulent stream[J]. Journal of Sound and Vibration 1975, 41(4): 407-420.
[1] Wen CHENG,Cheng-chun ZHANG,Xiao-wei SUN,Chun SHEN,Zheng-yang WU,Zheng-wu CHEN. Experimental on self-noise control of airfoil with ridge-like structure [J]. Journal of Jilin University(Engineering and Technology Edition), 2024, 54(8): 2385-2392.
[2] Jia-yi WANG,Xin-hui LIU,Zhan WANG,Jin-shi CHEN,Ya-fang HAN,Yu-qi WANG. Flow characteristics analysis of constant flow control valve based on AMESim [J]. Journal of Jilin University(Engineering and Technology Edition), 2023, 53(9): 2499-2507.
[3] Yan-bo LI,Yu ZHANG,Wei-yu LIU,Qi-sheng WU,Biao WANG,Bo-bin YAO. Bipolar DC flow field⁃effect⁃transistor and its application in microfluidics [J]. Journal of Jilin University(Engineering and Technology Edition), 2022, 52(8): 1934-1942.
[4] Tai-ming HUANG,Wei-ping LI,Tao-tao HU,Wan-hao YUE,Nian-zhou JI,Yu-bang LI. Aerodynamic noise optimization of vehicle claw-pole generator [J]. Journal of Jilin University(Engineering and Technology Edition), 2022, 52(10): 2244-2255.
[5] Xin CHEN,Ning WANG,Chuan-liang SHEN,Xiao FENG,Chang-hai YANG. Effect of rearview mirror modeling on aerodynamic noise of front window [J]. Journal of Jilin University(Engineering and Technology Edition), 2020, 50(2): 426-436.
[6] Wei-ping SHI,Xu ZHAO,Xing-jun HU,Tian-ming YU,Bo-wen LIU,Yan DUAN. Design and numerical simulation of water restriction device AICD for natural gas exploitation [J]. Journal of Jilin University(Engineering and Technology Edition), 2019, 49(6): 1986-1991.
[7] ZUO Shu-guang, HAN Hui-jun, SU Hu, WEI Kai-jun, ZHAO Yuan-ling. Analysis of aerodynamic noise and influence factors of a regenerative blower used in air supply system of fuel cell cars [J]. 吉林大学学报(工学版), 2013, 43(06): 1453-1458.
[8] SHI Lei, ZHANG Cheng-chun, WANG Jing, WANG Yong-hua,ZHANG Xue-peng, REN Lu-quan. Reduction of aerodynamic noise from NACA0018 airfoil model using bionic methods [J]. 吉林大学学报(工学版), 2011, 41(6): 1664-1668.
[9] HAO Shuang-hui|SHI Jing-he, HAO Ming-hui, SONG Bao-yu, TANG Zi-li. Pressure and flow compound control of direct drive electro-hydraulic servo system [J]. 吉林大学学报(工学版), 2011, 41(4): 1113-1118.
[10] YANG Bo,HU Xing-jun,WANG Fu-liang. Numerical simulation and verification of aerodynamic noise from side window region of minivan [J]. 吉林大学学报(工学版), 2010, 40(04): 915-0919.
[11] Yang Bo, Fu Li-min . Application of steady state numerical simulation to prediction
of sedan exterior aeroacoustic sources
[J]. 吉林大学学报(工学版), 2007, 37(05): 1005-1008.
Viewed
Full text


Abstract

Cited

  Shared   
  Discussed   
No Suggested Reading articles found!