Journal of Jilin University(Engineering and Technology Edition) ›› 2026, Vol. 56 ›› Issue (1): 131-139.doi: 10.13229/j.cnki.jdxbgxb.20240662

Previous Articles     Next Articles

Stiffness prediction model of thermoplastic composites-metal bonded-riveted hybrid joints

Hong-zhe ZHANG1(),Yu-xin JIA1,Yong-jie BAO2,Yu-xing YANG2()   

  1. 1.Engineering Training Center,Dalian University of Technology,Dalian 116024,China
    2.College of Marine Engineering,Dalian Maritime University,Dalian 116026,China
  • Received:2024-06-14 Online:2026-01-01 Published:2026-02-03
  • Contact: Yu-xing YANG E-mail:zhanghongzhe@dlut.edu.cn;yangyuxing@dlmu.edu.cn

Abstract:

Given the relatively limited development of analytical models for adhesive-rivet hybrid joints in automotive lightweight design, this paper proposes a load-bearing stiffness prediction model for carbon fiber-reinforced thermoplastic composite-to-metal adhesive-rivet hybrid joints based on spring-mass theory, aiming to deepen the understanding of stiffness in hybrid joint structures. The reliability of the spring-mass model was verified by quasi-static tensile test. Based on the proposed spring-mass model, the effects of adhesive layer thickness, lap length, and rivet hole diameter on the stiffness of the joint structure are discussed. The main conclusions are as follows: with an increase in the thickness of the adhesive layer, both the overall stiffness of the joint and the shear stiffness of the adhesive layer decrease. For every 0.01 mm increase, the shear stiffness of the adhesive layer decreases by about 1.94% on average. Increasing the lap length can improve the overall stiffness of the joint and the shear stiffness of the adhesive layer, but it numerically reduces the stiffness of the metal substrate significantly. As the diameter of the rivet hole increases, both the overall stiffness of the joint and the stiffness of the rivet increase, but the shear stiffness of the adhesive layer is reduced, which affects the joint's connection performance.

Key words: carbon fiber reinforced thermoplastic composites, spring-mass model, bonded-riveted hybrid joint, stiffness prediction

CLC Number: 

  • TG498

Fig.1

Schematic diagram and spring-mass model of single lap bonded-riveted hybrid joint"

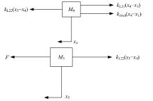
Fig.2

Force analysis of mass M4,M5"

Fig.3

Shear stress analysis of connected objects"

Table 1

Mechanical properties of CFRTP"

参数变量数值
纤维方向弹性模量/GPaE1138
基体方向弹性模量/GPaE213.8
面内剪切模量/GPaG123.7
泊松比υ0.3
纤维方向拉伸失效强度/MPaXT2107
纤维方向压缩失效强度/MPaXC814.5
基体方向拉伸失效强度/MPaYT81.4
基体方向压缩失效强度/MPaYC139.8
面内剪切强度/MPaG1234.7

Table 2

Mechanical properties of different materials"

参数304不锈钢

6061-T6

铝合金

Araldite AV

138M/HV998

弹性模量/GPa193694.89±0.81
剪切模量/GPa--1.56±0.01
泊松比0.250.330.35

Fig.4

Size schematic of substrate, adhesive layer and rivet(unit:mm)"

Fig.5

Test equipment and layout"

Fig.6

Load-displacement curves"

Fig.7

Comparison of predicted displacement value ofspring-mass model with experimental data"

Fig.8

Effect of adhesive layer thickness on stiffness"

Fig.9

Effect of lap length on stiffness"

Fig.10

Effect of rivet hole diameter on stiffness"

[1] 邓海, 王超, 杨京浩, 等. 碳纤维增强热塑性复合材料研究进展[J]. 吉林大学学报: 工学版, 2023, 53(1): 18-30.
Deng Hai, Wang Chao, Yang Jing-hao, et al. Research progress of carbon fiber reinforced thermoplastic composites[J]. Journal of Jilin University(Engineering and Technology Edition), 2023, 53(1): 18-30.
[2] Feng Z W, Zhao H Y, Tan C W, et al. Nanosecond laser ablation for improving the strength of CFRTP and aluminum alloy adhesively bonded joints[J]. Composite Structures, 2021, 274: No.114369.
[3] Li Y Y, Meng S, Gong Q M, et al. Experimental and theoretical investigation of laser pretreatment on strengthening the heterojunction between carbon fiber-reinforced plastic and aluminum alloy[J]. ACS Applied Materials and Interfaces, 2019, 11(24): 22005-22014.
[4] Di Franco G, Fratini L, Pasta A. Analysis of the mechanical performance of hybrid(SPR/bonded) single-lap joints between CFRP panels and aluminum blanks[J]. International Journal of Adhesion and Adhesives, 2013, 41: 24-32.
[5] 周利, 秦志伟, 刘杉, 等. 热塑性树脂基复合材料连接技术的研究进展[J]. 材料导报, 2019, 33(19): 3177-3183.
Zhou Li, Qin Zhi-wei, Liu Shan, et al. Progress on joining technology of thermoplastic resin matrix composites[J]. Materials Reports, 2019, 33(19): 3177-3183.
[6] Kumar S A, Rajesh R, Pugazhendhi S. A review of stress concentration studies on fibre composite panels with holes/cutouts[J]. Journal of Materials: Design and Applications, 2020, 234(11): 1461-1472.
[7] Othman A R, Jadee K J, Ismadi M. Mitigating stress concentration through defense hole system for improvement in bearing strength of composite bolted joint, part 1: numerical analysis[J]. Journal of Composite Materials, 2017, 51(26): 3685-3699.
[8] Soykok I F. End geometry and pin-hole effects on axially loaded adhesively bonded composite joints[J]. Composites Part B: Engineering, 2015, 77: 129-138.
[9] Sun G Y, Xia X G, Liu X L, et al. On quasi-static behaviors of different joint methods for connecting carbon fiber reinforce plastic(CFRP) laminate and aluminum alloy[J]. Thin-walled Structures, 2021, 164: No.107657.
[10] Han S L, Guang X J, Li Z Y, et al. Joining processes of CFRP-Al sheets in automobile lightweighting technologies: a review[J]. Polymer Composites, 2022, 43(12): 8622-8633.
[11] Chen Y W, Yang X J, Li M J, et al. Mechanical behavior and progressive failure analysis of riveted, bonded and hybrid joints with CFRP-aluminum dissimilar materials[J]. Thin-walled Structures, 2019, 139: 271-280.
[12] Zhang H, Zhang L, Liu Z, et al. Research in failure behaviors of hybrid single lap aluminum-CFRP(plain woven) joints[J]. Thin-walled Structures, 2021, 161: No.107488.
[13] Bodjona K, Lessard L. Hybrid bonded-fastened joints and their application in composite structures: a general review[J]. Journal of Reinforced Plastics and Composites, 2016, 35(9): 764-781.
[14] Mccarthy M A, Mccarthy C T, Padhi G S. A simple method for determining the effects of bolt-hole clearance on load distribution in single-column multi-bolt composite joints[J]. Composite Structures, 2006, 73(1): 78-87.
[15] Olmedo A, Santiuste C, Barbero E. An analytical model for the secondary bending prediction in single-lap composite bolted-joints[J]. Composite Structures, 2014, 111: 354-361.
[16] Yang Y, Liu X, Wang Y, et al. An enhanced spring-mass model for stiffness prediction in single-lap composite joints with considering assembly gap and gap shimming[J]. Composite Structures, 2018, 187: 18-26.
[17] Goland M, Reissner E. The stresses in cemented joints[J]. Journal of Applied Mechanics, 1944, 11(1): 17-27.
[18] De Bruyne N A. The strength of glued joints[J]. Aircraft Engineering and Aerospace Technology, 1944, 16(4): 115-118.
[19] Xiao X, Foss P H, Schroeder J A. Stiffness prediction of the double lap shear joint, part 1: analytical solution[J]. International Journal of Adhesion and Adhesives, 2004, 24(3): 229-237.
[20] Tsai M Y, Oplinger D W, Morton J. Improved theoretical solutions for adhesive lap joints[J]. International Journal of Solids and Structures, 1998, 35(12): 1163-1185.
[21] Xu P F, Zhou Z G, Liu T Z, et al. A novel double-spring analytical model for hybrid GLARE joints: model development, validation, parameter study and global sensitivity analysis[J]. International Journal of Mechanical Sciences, 2020, 177: No.105606.
[22] 赵波. 混元胶接单搭接头的应力与刚度分析[J]. 机械强度, 2009, 31(1): 95-103.
Zhao Bo. Stress and stiffness analysis of bi-adhesive bonded single-lap joints[J]. Journal of Mechanical Strength, 2009, 31(1): 95-103.
[23] Tate M B, Rosenfeld S J. Preliminary investigation of the loads carried by individual bolts in bolted joints[R]. Washington: U.S. Langley Memorial Aeronautical Laboratory, 1946.
[24] Nelson W D, Bunin B L, Hart-Smith L J. Critical joints in large composite aircraft structure[R]. Long Beach: Douglas Aircraft Company, 1983.
[25] 黄河源, 赵美英, 万小朋, 等. 一种复合材料螺栓连接结构非线性刚度模型及应用[J]. 西北工业大学学报, 2018, 36(1): 66-73.
Huang He-yuan, Zhao Mei-ying, Wan Xiao-peng, et al. A composite bolted joints non-linear stiffness model and its application[J]. Journal of Northwestern Polytechnical University, 2018, 36(1): 66-73.
[26] Owens J F P, Lee-Sullivan P. Stiffness behaviour due to fracture in adhesively bonded composite-to-aluminum joints II. experimental[J]. International Journal of Adhesion and Adhesives, 2000, 20(1): 47-58.
[27] 侯文彬, 刘璟琳, 陈广义, 等. 胶层缺陷对胶接-拉铆搭接剪切接头力学性能影响研究[J]. 机械工程学报, 2019, 55(24): 37-44.
Hou Wen-bin, Liu Jing-lin, Chen Guang-yi, et al. Effect of defects in adhesive layer on the mechanical property of hybrid bond-riveted lap shear joint[J]. Journal of Mechanical Engineering, 2019, 55(24): 37-44.
[28] Campilho R D S G, Banea M D, Neto J A B P, et al. Modelling adhesive joints with cohesive zone models: effect of the cohesive law shape of the adhesive layer[J]. International Journal of Adhesion and Adhesives, 2013, 44: 48-56.
No related articles found!
Viewed
Full text


Abstract

Cited

  Shared   
  Discussed   
No Suggested Reading articles found!