吉林大学学报(工学版) ›› 2024, Vol. 54 ›› Issue (12): 3614-3619.doi: 10.13229/j.cnki.jdxbgxb.20231025

• 计算机科学与技术 • 上一篇    下一篇

基于兴趣信息深度融合的网络图书资源推荐

易晓宇1,2(),易绵竹1   

  1. 1.国防科技大学 国际关系学院,南京 210039
    2.河南师范大学 图书与档案信息中心,河南 新乡 453000
  • 收稿日期:2023-09-22 出版日期:2024-12-01 发布日期:2025-01-24
  • 作者简介:易晓宇(1983-),女,博士研究生.研究方向:语言信息处理方法.E-mail:yixiaoyu2000@163.com
  • 基金资助:
    国防科技创新特区项目(18H86301ZT00500501);国家社会科学基金项目(14CYY051)

Network book resource recommendation based on deep fusion of interest information

Xiao-yu YI1,2(),Mian-zhu YI1   

  1. 1.School of International Relations,National University of Defense Technology,Nanjing 210039,China
    2.Book and Archive Information Center,Henan Normal University,Xinxiang 453000,China
  • Received:2023-09-22 Online:2024-12-01 Published:2025-01-24

摘要:

为有效地为用户推荐图书资源,提出了一种基于兴趣信息深度融合的网络图书资源推荐方法。首先,采用K均值聚类算法对网络用户展开聚类处理,通过优化聚类中心提高用户聚类精度;其次,计算用户对图书资源的兴趣度,以此为依据确定候选推荐资源;最后,建立LSKGCN模型,深度融合用户的长期兴趣和短期兴趣,对图书资源评分,将评分高的网络图书资源推荐给用户。实验结果表明,本文方法的推荐结果具有较高的类别多样性和内容多样性。

关键词: 兴趣信息, K均值聚类, 图书资源推荐, LSKGCN模型, 信息融合

Abstract:

In order to effectively recommend online book resources to users, a recommendation method for online book resources based on deep fusion of interest information is proposed. Firstly, network users are clustered using the K-means clustering algorithm, and the accuracy of user clustering is improved by optimizing the clustering centers. Secondly, the degree of users' interest in book resources is calculated, and candidate recommended resources are determined based on this. Finally, an LSKGCN model is established to deeply fuse the long-term and short-term interests of users, score the book resources, and the online book resources with high scores are recommended to users. The experimental results show that the recommendation results of this method have high category diversity and content diversity.

Key words: interest information, K-means clustering, book resource recommendation, lskgcn model, information fusion

中图分类号: 

  • TP391

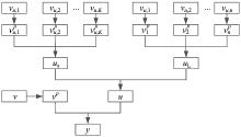
图1

LSKGCN模型"

图2

学科丰富度"

图3

平衡性"

图4

类别差异度"

表1

内容差异度"

图书资源/个SIM c
本文方法文献[3]方法文献[4]方法
1000.8640.6580.713
2000.8680.6590.715
3000.8720.6590.717
4000.8770.6610.720
5000.8850.6620.723
1 杨粟森, 刘勇, 张举勇. 基于评论文本图表示学习的推荐算法[J]. 计算机工程, 2021, 47(11): 69-76.
Yang Su-sen, Liu Yong, Zhang Ju-yong. Recommendation algorithm based on graph representation learning of review texts[J]. Computer Engineering, 2021,47(11): 69-76.
2 关菲, 周艺, 张晗. 个性化推荐系统中协同过滤推荐算法优化研究[J]. 运筹与管理, 2022, 31(11): 9-14.
Guan Fei, Zhou Yi, Zhang Han. Research on collaberative filtering recommendation algorithmoptimization in personalized recommendation[J]. Operations Research and Management Science, 2022,31(11): 9-14.
3 张金柱, 蒋霖琪, 王玥, 等. 基于异构网络表示学习的相关图书推荐研究[J]. 计算机工程与应用, 2022, 58(9): 263-270.
Zhang Jin-zhu, Jiang Lin-qi, Wang Yue, et al. Book recommendation based on heterogeneous network representation learning[J]. Computer Engineering and Applications, 2022, 58(9): 263-270.
4 蒲岍岍, 雷航, 李贞昊, 等. 增强列表信息和用户兴趣的个性化新闻推荐算法[J]. 计算机科学, 2022, 49(6): 142-148.
Pu Qian-qian, Lei Hang, Li Zhen-hao, et al. Personalized News recommendation algorithm with enhanced list information and user interests[J]. Computer Science, 2022,49(6): 142-148.
5 周湘贞, 李帅, 隋栋. 数据驱动下基于量子人工蜂群的K均值聚类算法优化[J]. 南京理工大学学报, 2023, 47(2): 199-206.
Zhou Xiang-zhen, Li Shuai, Sui Dong. Data driven K-means clustering algorithm optimization based on quantum artificial bee colony [J]. Journal of Nanjing University of Science and Technology, 2023,47(2): 199-206.
6 白雨佳, 李靖, 高升. 基于最优K均值聚类算法的负荷大数据任务均衡调度研究[J]. 电力电容器与无功补偿, 2022, 43(6): 85-91.
Bai Yu-jia, Li Jing, Gao Sheng. Research on balanced scheduling of power load big data task based on optimal K-means clustering algorithm[J]. Power Capacitor & Reactive Power Compensation, 2022,43(6): 85-91.
7 柳倩. 数字图书馆个性化图书信息自动采集仿真[J].计算机仿真, 2020, 37(1): 390-393.
Liu Qian.Automatic collection and simulation of personalized book information in digital library[J]. Computer Simulation, 2020, 37(1): 390-393.
8 王惠琴, 侯文斌, 彭清斌, 等. 基于K均值聚类的SPPM分步分类检测算法[J]. 通信学报, 2022, 43(1): 161-171.
Wang Hui-qin, Hou Wen-bin, Peng Qing-bin, et al. Step-by-step classification detection algorithm of SPPM based on K-means clustering[J]. Journal on Communications, 2022,43(1): 161-171.
9 蒋武轩, 易明, 汪玲. 融合用户兴趣漂移特征的个性化推荐研究[J]. 情报理论与实践, 2022, 45(1): 38-45, 37.
Jiang Wu-xuan, Yi Ming, Wang Ling. Research on personalized recommendation combining user interest drift [J]. Information Studies:Theory & Application, 2022,45(1): 38-45, 37.
10 郭承湘, 赵雨佳, 朱新华. 基于排序学习的连续兴趣点推荐[J]. 广西大学学报: 自然科学版, 2021, 46(3): 683-691.
Guo Cheng-xiang, Zhao Yu-jia, Zhu Xin-hua. Successive point-of-interest recommendation based on learning to rank[J]. Journal of Guangxi University(Natural Science Edition), 2021,46(3): 683-691.
11 陶天一, 王清钦, 付聿炜, 等. 基于知识图谱的金融新闻个性化推荐算法[J]. 计算机工程,2021, 47(6): 98-103, 114.
Tao Tian-yi, Wang Qing-qin, Fu Yu-wei, et al. Personalized recommendation algorithm for financial news based on knowledge graph [J]. Computer Engineering, 2021,47(6): 98-103, 114.
12 赵振兵, 段记坤, 孔英会, 等.基于门控图神经网络的栓母对知识图谱构建与应用[J]. 电网技术, 2021, 45(1): 98-106.
Zhao Zhen-bing, Duan Ji-kun, Kong Ying-hui, et al. construction and application of bolt and nut pair knowledge graph based on GGNN [J]. Power System Technology, 2021,45(1): 98-106.
[1] 车翔玖,董有政. 基于多尺度信息融合的图像识别改进算法[J]. 吉林大学学报(工学版), 2020, 50(5): 1747-1754.
[2] 曲昭伟, 魏福禄, 魏巍, 李志慧, 胡宏宇. 雷达与视觉信息融合的行人检测方法[J]. 吉林大学学报(工学版), 2013, 43(05): 1230-1234.
[3] 李琦, 姜桂艳, 杨聚芬. 基于因子分析与聚类分析的交通事件自动检测算法融合[J]. , 2012, 42(05): 1191-1197.
[4] 杨兆升, 高学英, 孙迪, 张茂雷. 基于SCATS及GPS信息的路段行程时间估计[J]. 吉林大学学报(工学版), 2011, 41(增刊2): 137-143.
[5] 江晟, 王殿海, 赵莹莹, 魏巍. 基于复合算法的混合交通流前景提取[J]. 吉林大学学报(工学版), 2011, 41(增刊1): 76-80.
[6] 赵淑芝, 曹阳, 田庆飞. 基于信息融合的城市轨道交通调度决策[J]. 吉林大学学报(工学版), 2011, 41(增刊1): 85-88.
[7] 曹红玉,孙汉旭,贾庆轩,叶平,高欣. 基于改进的D-S证据理论的栅格地图构建[J]. 吉林大学学报(工学版), 2011, 41(4): 1126-1130.
[8] 杨兆升,于悦,杨薇. 基于固定型检测器和浮动车的路段行程时间获取技术[J]. 吉林大学学报(工学版), 2009, 39(增刊2): 168-0171.
[9] 甄子洋, 王道波, 胡勇, FAROOQ M. . 离散动态随机系统的信息融合滤波方法
[J]. 吉林大学学报(工学版), 2009, 39(02): 484-0488.
[10] 杨兆升;王伟;董升;朱伟权;沈建惠 . GPS/DR组合定位系统信息融合技术[J]. 吉林大学学报(工学版), 2008, 38(03): 508-0513.
[11] 杨兆升,冯金巧,张林 . 基于卡尔曼滤波的交通信息融合方法
[J]. 吉林大学学报(工学版), 2007, 37(05): 1039-1042.
[12] 杨兆升, 杨庆芳, 冯金巧. 路段平均速度组合融合算法及其应用[J]. 吉林大学学报(工学版), 2004, (4): 675-678.
[13] 张晓丹, 赵海, 王刚, 魏守智. 基于信息融合的故障诊断模糊专家系统的应用[J]. 吉林大学学报(工学版), 2004, (1): 141-145.
Viewed
Full text


Abstract

Cited

  Shared   
  Discussed   
[1] 李寿涛, 李元春. 在未知环境下基于递阶模糊行为的移动机器人控制算法[J]. 吉林大学学报(工学版), 2005, 35(04): 391 -397 .
[2] 刘庆民,王龙山,陈向伟,李国发. 滚珠螺母的机器视觉检测[J]. 吉林大学学报(工学版), 2006, 36(04): 534 -538 .
[3] 李红英;施伟光;甘树才 .

稀土六方Z型铁氧体Ba3-xLaxCo2Fe24O41的合成及电磁性能与吸波特性

[J]. 吉林大学学报(工学版), 2006, 36(06): 856 -0860 .
[4] 张全发,李明哲,孙刚,葛欣 . 板材多点成形时柔性压边与刚性压边方式的比较[J]. 吉林大学学报(工学版), 2007, 37(01): 25 -30 .
[5] 杨树凯,宋传学,安晓娟,蔡章林 . 用虚拟样机方法分析悬架衬套弹性对
整车转向特性的影响
[J]. 吉林大学学报(工学版), 2007, 37(05): 994 -0999 .
[6] 冯金巧;杨兆升;张林;董升 . 一种自适应指数平滑动态预测模型[J]. 吉林大学学报(工学版), 2007, 37(06): 1284 -1287 .
[7] 车翔玖,刘大有,王钲旋 .

两张NURBS曲面间G1光滑过渡曲面的构造

[J]. 吉林大学学报(工学版), 2007, 37(04): 838 -841 .
[8] 刘寒冰,焦玉玲,,梁春雨,秦卫军 . 无网格法中形函数对计算精度的影响[J]. 吉林大学学报(工学版), 2007, 37(03): 715 -0720 .
[9] .

吉林大学学报(工学版)2007年第4期目录

[J]. 吉林大学学报(工学版), 2007, 37(04): 0 .
[10] 李月英,刘勇兵,陈华 . 凸轮材料的表面强化及其摩擦学特性
[J]. 吉林大学学报(工学版), 2007, 37(05): 1064 -1068 .