吉林大学学报(工学版) ›› 2025, Vol. 55 ›› Issue (11): 3521-3533.doi: 10.13229/j.cnki.jdxbgxb.20240417

• 车辆工程·机械工程 • 上一篇    

梭形双重约束防屈曲支撑的整体稳定性设计方法

史俊1,2(),徐略勤2,金双双2,贺洪滔2,周建庭2(),柳杨青2   

  1. 1.宁波工程学院 全省深海基础智能建造与运维重点实验室,宁波 315211
    2.重庆交通大学 山区桥梁及隧道工程国家重点实验室,重庆 400074
  • 收稿日期:2024-04-17 出版日期:2025-11-01 发布日期:2026-02-03
  • 通讯作者: 周建庭 E-mail:shijuncqjtu@163.com;jtzhou@cqjtu.edu.cn
  • 作者简介:史俊(1994-),男,博士研究生.研究方向:桥梁抗震与减隔震. E-mail: shijuncqjtu@163.com
  • 基金资助:
    广西重点研发计划(桂科AB22036007);重庆市技术创新与应用发展专项重点项目(CSTB2022TIAD-KPX0205);中国中铁重大课题(2022-重大-11);宁波工程学院科研启动项目(ZX2025000122)

Global stability design method of shuttle-shaped double-restrained buckling-restrained brace

Jun SHI1,2(),Lue-qin XU2,Shuang-shuang JIN2,Hong-tao HE2,Jian-ting ZHOU2(),Yang-qing LIU2   

  1. 1.Zhejiang Key Laboratory of Intelligent Construction and Operation & Maintenance for Deep-Sea Foundations,Ningbo University of Technology,Ningbo 315211,China
    2.State Key Laboratory of Mountain Bridge and Tunnel Engineering,Chongqing Jiaotong University,Chongqing 400074,China
  • Received:2024-04-17 Online:2025-11-01 Published:2026-02-03
  • Contact: Jian-ting ZHOU E-mail:shijuncqjtu@163.com;jtzhou@cqjtu.edu.cn

摘要:

为研究新型梭形双重约束防屈曲支撑(SDR-BRB)的整体稳定性能及其设计方法,首先,采用平衡法推导了两端铰接的SDR-BRB弹性屈曲荷载和约束比计算公式;然后,考虑构件整体初始几何缺陷的影响,构建了SDR-BRB侧向变形和弯矩分布函数,并基于外围构件截面边缘纤维屈服准则,得到了SDR-BRB 3类约束比限值计算公式;在此基础上,建立了经试验验证的ABAQUS有限元模型,分别对其单调加载下的承载性能和往复加载下的滞回性能进行了弹塑性有限元数值分析;最后,结合理论推导与数值分析,提出了基于约束比限值的SDR-BRB整体稳定性的设计方法。结果表明:约束比对SDR-BRB的整体稳定性能、弹塑性承载性能和滞回性能影响显著;基于3类约束比限值,SDR-BRB可分为延迟屈曲构件、承载型BRB和耗能型BRB;本文提出的设计方法可准确预测SDR-BRB承载性能与滞回性能的屈曲行为,并具有良好的适用性,可将其作为SDR-BRB整体稳定设计的准则。

关键词: 结构加固, 梭形双重约束防屈曲支撑, 整体稳定性, 约束比限值, 承载性能, 滞回性能

Abstract:

To study the global stability and design method of a novel shuttle-shaped double-restrained buckling-restrained brace (SDR-BRB), this article first uses the equilibrium method to derive the calculation formula for the elastic buckling load and the restraining ratio of SDR-BRB with hinged ends. Then, the distribution function of lateral deformation and bending moment of SDR-BRB is constructed considering the influence of global initial geometric imperfections, and based on the yielding criteria of the outmost fiber for the restraining member section, the calculation formula of the three types of the restraining ratio requirement of SDR-BRB is obtained. On this basis, the ABAQUS finite element model verified by experiments is established, and the elastic-plastic finite element numerical analysis of its load-carrying capacity under monotonic loading and hysteretic performance under cyclic loading is carried out respectively. Finally, the global stability design method of SDR-BRB based on the restraining ratio requirement is proposed. The results show that the restraining ratio has a significant effect on the global stability, load-carrying capacity, and hysteretic performance of SDR-BRB. Based on the three types of the restraining ratio requirement, SDR-BRB can be divided into delayed buckling member, load-carrying BRB, and energy-consuming BRB. The design method proposed in this article can accurately predict the buckling behavior of the load-carrying capacity and hysteretic performance of SDR-BRB, and has good applicability, which can be used as the global stability design criterion of SDR-BRB.

Key words: structural reinforcement, shuttle-shaped double-restrained buckling-restrained brace, global stability, restraining ratio requirement, load-carrying capacity, hysteretic performance

中图分类号: 

  • U442.5

图1

梭形双重约束防屈曲支撑示意图"

图2

SDR-BRB弹性屈曲荷载理论推导示意图"

表1

一阶弹性屈曲模态数值算例参数 (mm)"

编号ld1×t1d2×t2de1de2γl1λteζ
110 000120×20140×82003000.55 0000.5121.47
220 000200×30240×183505250.510 0000.5211.39
330 000300×40350×235007500.515 0000.5301.27

图3

SDR-BRB一阶弹性屈曲模态数值结果"

图4

SDR-BRB总侧向变形数值验证结果"

图5

SDR-BRB类型与约束比限值对应关系"

图6

有限元模型建立与验证"

表2

SDR-BRB轴向单调加载下的算例参数的几何尺寸 (mm)"

编号ld1×t1d2×t2γζζ/ζ1ζ/ζ2类型
SDR-10-ζ10 000120×20140×80.20~0.360.81~1.130.67~0.970.32~0.49失稳
10 000120×20140×80.41~0.681.24~2.021.08~1.830.55~0.97失稳
10 000120×20140×80.72~0.872.15~2.721.96~2.521.04~1.35稳定
SDR-15-ζ15 000150×25180×130.38~0.530.84~1.110.72~0.970.36~0.50失稳
15 000150×25180×130.61~0.901.27~2.021.13~1.850.59~0.99失稳
15 000150×25180×130.93~1.092.11~2.641.94~2.461.04~1.33稳定
SDR-20-ζ20 000200×30240×180.26~0.380.87~1.110.75~0.980.38~0.50失稳
20 000200×30240×180.44~0.701.24~1.961.11~1.800.58~0.96失稳
20 000200×30240×180.74~0.902.09~2.671.93~2.501.03~1.36稳定
SDR-25-ζ25 000250×35300×230.17~0.290.85~1.100.74~0.970.37~0.50失稳
25 000250×35300×230.34~0.591.21~1.931.08~1.780.56~0.95失稳
25 000250×35300×230.64~0.792.10~2.681.94~2.511.05~1.37稳定

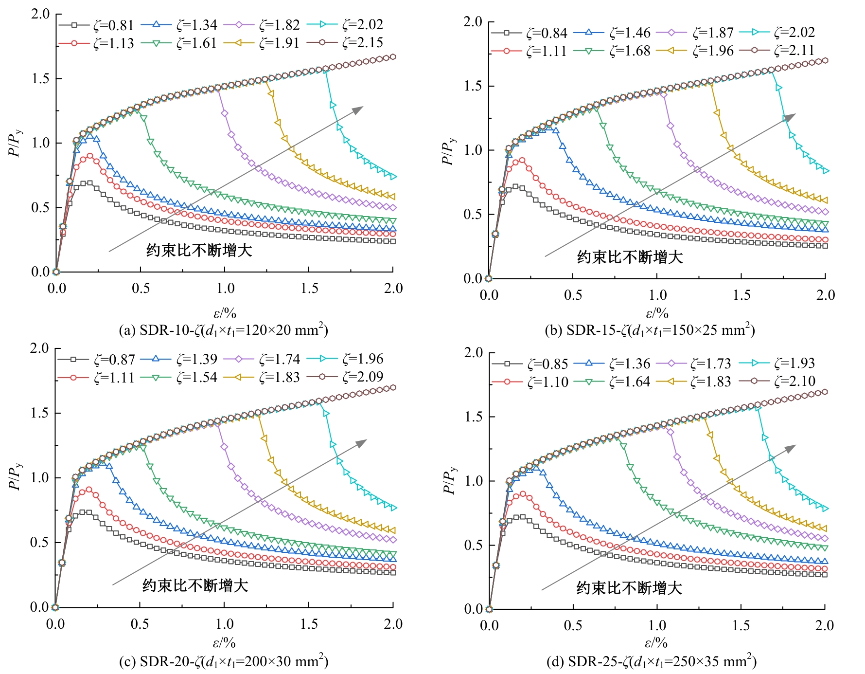
图7

SDR-BRB单调加载下数值分析结果"

图8

单调加载下典型算例von Mises应力分布与变形图(单位:MPa)"

图9

单调加载下约束比限值公式验证结果"

表3

SDR-BRB轴向往复加载下的算例参数的几何尺寸 (mm)"

编号ld1×t1d2×t2γζζ/ζ2ζ/ζ3类型
SDR-10-ζ10 000120×20140×80.32~0.671.04~1.980.44~0.950.37~0.81失稳
10 000120×20140×80.71~0.782.12~2.351.02~1.150.87~0.99失稳
10 000120×20140×80.81~0.962.48~3.111.22~1.561.05~1.36稳定
SDR-15-ζ15 000150×25180×130.47~0.871.00~1.930.44~0.940.37~0.81失稳
15 000150×25180×130.92~0.992.08~2.301.02~1.140.88~0.99失稳
15 000150×25180×131.04~1.212.46~3.091.23~1.571.07~1.37稳定
SDR-20-ζ20 000200×30240×180.32~0.690.99~1.930.44~0.940.37~0.81失稳
20 000200×30240×180.73~0.792.05~2.261.02~1.130.88~0.98失稳
20 000200×30240×180.85~0.992.48~3.051.25~1.561.08~1.36稳定
SDR-25-ζ25 000250×35300×230.23~0.590.97~1.930.43~0.950.36~0.82失稳
25 000250×35300×230.63~0.692.06~2.281.03~1.150.89~0.99失稳
25 000250×35300×230.74~0.872.48~3.031.25~1.561.09~1.36稳定

图10

SDR-BRB往复加载下数值分析结果"

图11

往复加载下典型算例von Mises应力分布与变形图(单位:MPa)"

图12

往复加载下约束比限值公式验证结果"

图13

SDR-BRB整体稳定性设计流程"

[1] Zhou Y, Shao H T, Cao Y S, et al. Application of buckling-restrained braces to earthquake-resistant design of buildings: A review[J]. Engineering Structures, 2021, 246: No.112991.
[2] Bai J L, Chen H M, Ma G, et al. Development of a four-tube-assembled buckling-restrained brace for convenient post-earthquake damage examination and replacement[J]. Journal of Building Engineering, 2022, 50: No.104209.
[3] 郭彦林, 童精中, 周鹏. 防屈曲支撑的型式、设计理论与应用研究进展[J]. 工程力学, 2016, 33(9): 1-14.
Guo Yan-lin, Tong Jing-zhong, Zhou Peng. Research progress of buckling-restrained braces: types, design methods and applications[J]. Engineering Mechanics, 2016, 33(9): 1-14.
[4] 罗小博, 宋彧, 王腾, 等. 新型分形防屈曲支撑参数设计及受力性能[J]. 吉林大学学报:工学版, 2022, 52(7): 1607-1619.
Luo Xiao-bo, Song Yu, Wang Teng, et al. Parameter design and mechanical performance of a new type of fractal buckling restrained brace[J]. Journal of Jilin University (Engineering and Technology Edition), 2022, 52(7): 1607-1619.
[5] Fayeq A G, Ranjan D S. Cyclic behavior of all-steel BRBs with bolted angle restrainers: testing and numerical analysis[J]. Journal of Earthquake Engineering, 2023, 27: 362-388.
[6] Qing Y, Li X H, Wang C L, et al. Experimental study on a dry-assembled precast concrete frame with buckling-restrained braces[J]. Engineering Structures, 2023, 276: No.115371.
[7] 金双双, 李盈开, 周建庭, 等. 全装配式自复位防屈曲支撑滞回模型及其性能试验研究[J]. 工程力学, 2022, 39(7): 49-57.
Jin Shuang-shuang, Li Ying-kai, Zhou Jian-ting, et al. Hysteresis model and experimental investigation of assembled self-centering buckling‐restrained braces [J]. Engineering Mechanics, 2022, 39(7): 49-57.
[8] Shi J, Jin S S, Xu L Q, et al. Theoretical and numerical studies of elastic buckling and load resistance of a shuttle-shaped double-restrained buckling-restrained brace[J]. Buildings, 2023, 13: No.13081967.
[9] Inoue K, Sawaizumi S, Higashibata Y. Stiffening requirements for unbonded braces encased in concrete panels[J]. Journal of Structural Engineering, 2001, 127(6): 712-719.
[10] Inoue K, Sawaisumi S, Higashibata Y, et al. Bracing design criteria of the reinforced concrete panel including unbonded steel diagonal braces[J]. Journal of Structural and Construction Engineering, 1992, 432(2): 41-49.
[11] Fujimoto M, Wada A, Saeki E. A study on the unbonded brace encased in buckling-restraining concrete and steel tube[J]. Journal of Structural Engineering, 1988, 34(34): 249-258.
[12] Kimura K, Yoshioka K, Takeda T, et al. Tests on braces encased by mortar in-filled steel tubes[C]∥ Summaries of Technical Papers of Annual Meeting, Tokyo, Japan, 1976: 1041-1042.
[13] Tada Y. Recommendation for Stability Design of Steel Structures[M]. Tokyo: Architectural Institute of Japan, 2009.
[14] Zhou Y, Cao Y S, Jiro T, et al. Experimental and numerical investigation of a novel all-steel assembled core-perforated buckling-restrained brace[J]. Journal of Constructional Steel Research, 2022, 193: No.107288.
[15] 郭彦林, 张博浩, 朱博莉. 全钢型分离式防屈曲支撑的约束比取值研究[J]. 建筑结构学报, 2015, 36(11): 133-141.
Guo Yan-lin, Zhang Bo-hao, Zhu Bo-li. Restraining ratio of all-steel core-separated buckling-restrained braces[J]. Journal of Building Structures, 2015, 36(11): 133-141.
[16] Timoshenko S P, Gere J M. Theory of Elastic Stability [M]. New York: McGraw Hill, 1961.
[17] . 钢结构设计规范 [S].
[18] Tong J Z, Zhang E Y, Guo Y L, et al. Cyclic experiments and global buckling design of steel-angle-assembled buckling-restrained braces[J]. Bulletin of Earthquake Engineering, 2022, 20(10): 5107-5133.
[19] Zhang E Y, Tong J Z, Guo Y L. Seismic performance of triple-truss-latticed buckling-restrained braces: tests and numerical simulations[J]. Journal of Constructional Steel Research, 2023, 204: No.107880.
[20] . 建筑抗震设计规范 [S].
[1] 王永胜,吕宝宏,王金珂,杨大江,熊泤哲,张斌伟. 新型地锚张弦梁式泥石流格栅坝稳定性分析[J]. 吉林大学学报(工学版), 2024, 54(6): 1719-1729.
[2] 王卫华,朱勇斌,祁神军,霍静思,郭秀泉,钟振安. 摩擦耗能型翼缘削弱式钢梁连接的承载性能[J]. 吉林大学学报(工学版), 2023, 53(5): 1400-1410.
[3] 罗小博,宋彧,王腾,金子秋,谢国鑫. 新型分形防屈曲支撑参数设计及受力性能[J]. 吉林大学学报(工学版), 2022, 52(7): 1607-1619.
[4] 戴岩, 聂少锋, 周天华. 带环梁的方钢管约束钢骨混凝土柱-钢梁节点滞回性能有限元分析[J]. 吉林大学学报(工学版), 2018, 48(5): 1426-1435.
[5] 潘明远, 姚继涛, 崔旸. 钢筋混凝土矩形截面柱绕丝加固的受力性能[J]. 吉林大学学报(工学版), 2009, 39(04): 932-936.
[6] 石启印, 陆鸣,张庆宗 ,李爱群,惠卓 . 碳纤维布加固的钢筋砼吊车梁的抗弯疲劳性能[J]. 吉林大学学报(工学版), 2008, 38(01): 99-104.
[7] 王铁成,李新华,王天柱,康谷贻 . 反复荷载作用下的异形柱框架滞回性能[J]. 吉林大学学报(工学版), 2007, 37(01): 224-228.
Viewed
Full text


Abstract

Cited

  Shared   
  Discussed   
No Suggested Reading articles found!