Journal of Jilin University(Engineering and Technology Edition) ›› 2025, Vol. 55 ›› Issue (12): 3976-3985.doi: 10.13229/j.cnki.jdxbgxb.20240286

Previous Articles    

Shear resistance of UHPC⁃NC planting bar interface

Hua-nan HE1(),Qi-ze WU2,Xiao ZHANG3,Song SUN1,Bing LI1,Xuan-yi ZHANG1   

  1. 1.State Key Laboratory of Coastal and Offshore Engineering,Dalian University of Technology,Dalian 116024,China
    2.Tengzhou Housing and Urban-Rural Development Bureau,Zaozhuang 277500,China
    3.Liaoning Provincial Transportation Planning and Design Institute Co. ,Ltd. ,Shenyang 110000,China
  • Received:2024-03-17 Online:2025-12-01 Published:2026-02-03

Abstract:

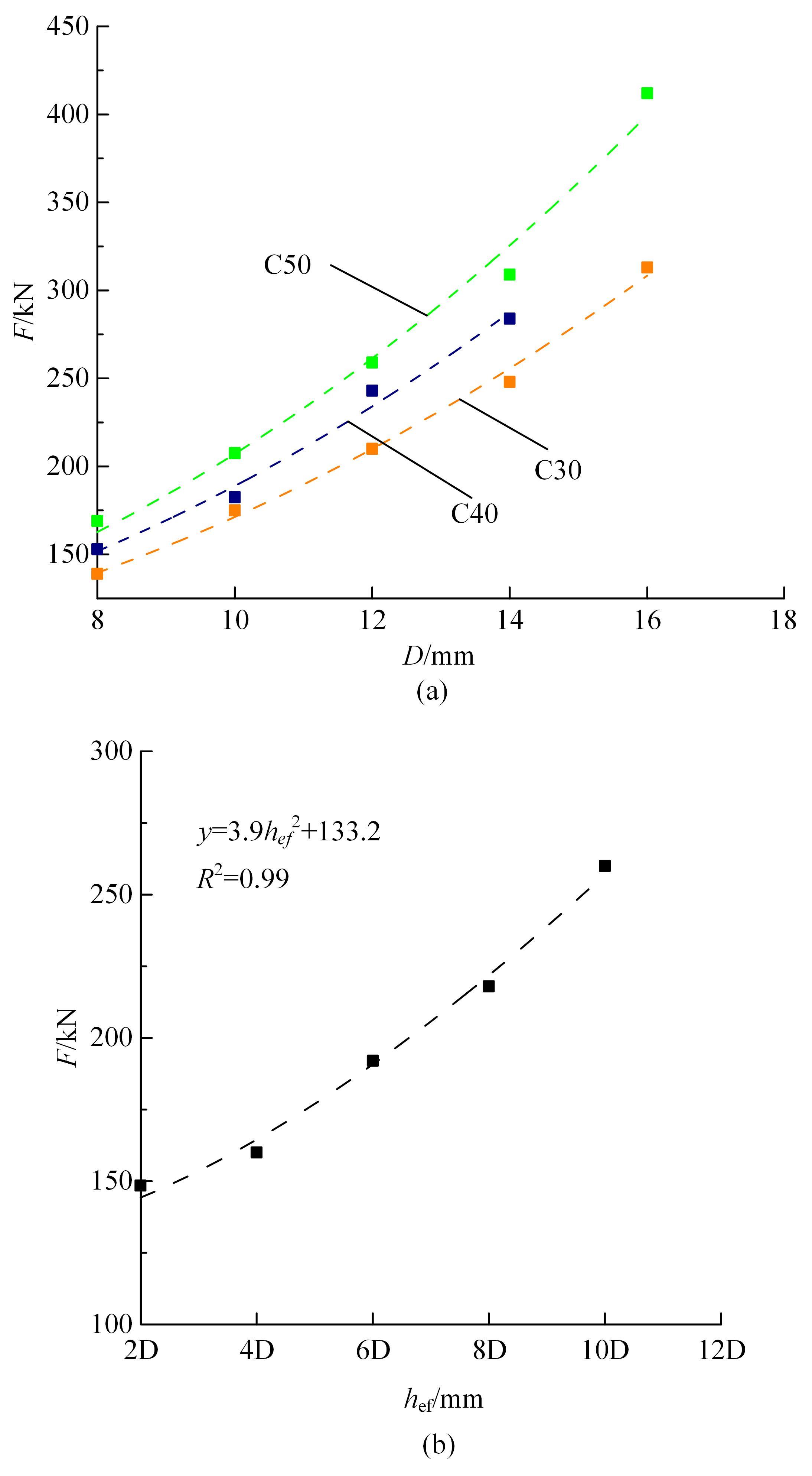
In order to study the shear resistance of the interface between ultra-high performance concrete (UHPC) and normal concrete (NC), the effects of different matrix concrete strength, interface reinforcement planting rate and reinforcement buried depth on the shear strength of the interface were investigated through Z-type direct shear test, and the calculation formula of shear bearing capacity of uhpc-nc reinforcement planting interface was established the results show that when the strength grade of the matrix concrete is C30 and C40, the interface planting rate is recommended to be 1.22%, and when the strength grade of the matrix concrete is C50, the interface planting rate is recommended to be 1.59%. In order to ensure the shear resistance of the interface, the buried depth of the reinforcement on the UHPC side should be greater than 8D. Finally, the formula for calculating the shear bearing capacity of UHPC-NC planting reinforcement interface was proposed.

Key words: structural engineering, ultra-high performance concrete, Z-type direct shear test, planted bar, interface shear capaci

CLC Number: 

  • TU528.572

Table 1

Test values of basic mechanical properties of concrete materials"

材料抗压强度/MPa
C3033.36
C4043.52
C5052.47
UHPC146.06

Table 2

Experimental grouping"

分组钢筋直径D/mm在NC中的埋深/mm在UHPC中的埋深hef/mm
1~38、10、12、14、161006D
4101002D、4D、6D、8D、10D

Fig.1

Design of test specimen(mm)"

Fig.2

Loading diagram"

Table 3

Test strength"

实验样品Pu/kNSu/mmτ/MPa
C30-8-6D139.00.492.75
C30-10-6D175.00.553.46
C30-12-6D210.00.754.15
C30-14-6D248.00.794.90
C30-16-6D313.01.026.18
C40(对照组)101.00.301.99
C40-8-6D153.01.103.02
C40-10-6D192.01.183.79
C40-12-6D243.01.374.80
C40-14-6D284.01.475.61
C50-8-6D169.00.603.34
C50-10-6D207.51.124.10
C50-12-6D258.01.325.10
C50-14-6D309.01.706.10
C50-16-6D412.02.008.14
C40-10-2D148.50.242.93
C40-10-4D160.01.143.16
C40-10-6D192.01.603.79
C40-10-8D218.02.844.31
C40-10-10D260.02.845.14

Fig.3

Quadratic fitting curve"

Fig.4

Interface bond slip curve"

Fig.5

Reinforcement strain"

Fig.6

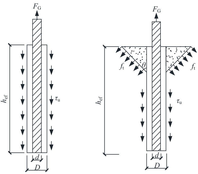
Stress analysis of reinforcement"

Fig.7

Shear friction"

Fig.8

Theory of beam on elastic foundation (BEF)"

Fig.9

Comparison between theoretical strength and actual strength"

Fig.10

Specification error analysis"

Fig.11

Formula calculation error"

[1] 赵一鹤, 孙振平, 穆帆远, 等.钢纤维对UHPC拉伸性能及其拔出行为的影响[J]. 建筑材料学报, 2021, 24(2): 276-282.
Zhao Yi-he, Sun Zhen-ping, Mu Fan-yuan, et al.Effect of steel fiber on tensile properties and pullout behavior of UHPC[J]. Journal of Building Materials, 2021,24(2): 276-282.
[2] 邵旭东, 邱明红, 晏班夫, 等. 超高性能混凝土在国内外桥梁工程中的研究与应用进展[J]. 材料导报, 2017, 31(23): 33-43.
Shao Xu-dong, Qiu Ming-hong, Yan Ban-fu, et al. Research and application progress of ultra high performance concrete in bridge engineering at home and abroad[J]. Material Guide, 2017, 31(23): 33-43.
[3] 霍文斌, 张阳, 黄龙田, 等. 配筋UHPC湿接缝界面抗弯性能及影响因素[J]. 建筑材料学报, 2021, 24(3): 525-532.
Huo Wen-bin, Zhang Yang, Huang Long-tian, et al. Flexural properties and influencing factors of reinforced UHPC wet joint interface [J]. Journal of Building Materials, 2021,24(3): 525-532.
[4] 陈甫亮, 胥卉, 廖桢颖, 等. 新旧混凝土叠合面抗剪性能研究[J]. 混凝土与水泥制品, 2020(10): 75-79.
Chen Fu-liang, Xu Hui, Liao Zhen-ying, et al.Study on shear resistance of new and old concrete composite surface[J]. Concrete and cement products, 2020(10): 75-79.
[5] 王兴旺. UHPC与普通钢筋混凝土结构界面抗剪性能研究[D]. 长沙: 湖南大学土木工程学院, 2016.
Wang Xing-wang. Study on shear resistance of interface between UHPC and ordinary reinforced concrete structure[D]. Changsha: College of Civil Engineering, Hunan University, 2016.
[6] Jiang H, Dong X, Fang Z, et al. Experimental study on shear behavior of a UHPC connection between adjacent precast prestressed concrete voided beams[J]. Journal of Bridge Engineering, 2020, 25(12): 1-13.
[7] Jiang H, Shao T, Fang Z, et al. Shear-friction behavior of grooved construction joints between a precast UHPC girder and a cast-in-place concrete slab[J]. Engineering Structures, 2021, 228: 1-12.
[8] . 普通混凝土长期性能和耐久性能试验方法标准 [S].
[9] . 活性粉末混凝土 [S].
[10] Dulacska H. Dowel action of reinforcement crossing cracks in concrete[J]. ACI Journal, 1972,69(12):754-757.
[11] Randl N.Investigations on transfer of forces between old and new concrete at different jointroughness[D].Innsbruck: Faculty of Civil Engineering Sciences, University of Innsbruck,1997.
[12] 刘向华. 植筋粘结锚固性能的试验研究及可靠度分析[D]. 合肥: 合肥工业大学土木与水利工程学院, 2004.
Liu Xiang-hua.The experiment study on bonded anchor behavior of planted bar and reliability analysis[D].Hefei:College of Civil and Hydraulic Engineering, Hefei University of Technology, 2004.
[13] 李鹏飞. 考虑混凝土耦合损伤效应的钢筋销栓作用承载研究[D].北京:清华大学土木水利学院, 2016.
Li Peng-fei.Research on bearing capacity of reinforcement dowel action considering concrete coupling damage effect[D].Beijing:School of Civil and Hydraulic Engineering, Tsinghua University,2016.
[14] . 工程结构加固材料安全性鉴定技术规范 [S].
[15] The International Federation for Structural Concrete. Fib model code for concrete structures 2010[EB/OL].[2024-02-25].
[16] AASHO. LRFD bridge design specifications [S].
[17] 舒睿彬. 植筋系统粘结滑移性能及受力机理研究[D]. 上海: 同济大学土木工程学院, 2008.
Shu Rui-bin. Study on the bond-slip performance and load-transfer mechanism of bonded rebars system[D]. Shanghai: College of Civil Engineering, Tongji University, 2008.
[18] 林新鹏, 黄璐, 林燕英, 等.带植筋新旧混凝土粘结界面剪切强度试验研究[J]. 福建建筑, 2016(4): 48-53.
Lin Xin-peng, Huang Lu, Lin Yan-ying, et al.Experimental study on shear strength of bonding interface between new and old concrete with embedded bars[J] .Fujian architecture, 2016 (4): 48-53.
[19] 王二花. 植筋法新老混凝土粘结面剪切性能试验研究[D]. 郑州: 郑州大学环境与水利学院, 2006.
Wang Er-hua. Experimental study on shear performance of bonding interface between new and old concrete by bar planting method[D]. Zhengzhou: College of Environmental and Water Conservancy Engineering, Zhengzhou University, 2006.
[20] 江志伟. 沟槽和植筋新旧混凝土界面抗剪性能试验研究[D]. 广州: 广东工业大学土木与交通工程学院, 2014.
Jiang Zhi-wei. Experimental study on shear performance of interface between new and old concrete with groove and bar planting[D]. Guangzhou: School of Civil and Traffic Engineering, Guangdong University of Technology, 2014.
[21] 朱瑞经. 新老混凝土粘结面抗剪性能研究[D]. 石家庄: 河北工业大学土木与交通学院,2016.
Zhu Rui-jing. Study on shear property of new and old concrete bonding surface[D]. Shijiazhuang: School of Civil and Transportation Engineering, Hebei University of Technology, 2016.
[22] Zhang Y, Zhang C, Zhu Y, et al. An experimental study: various influence factors affecting interfacial shear performance of UHPC-NSC[J]. Construction and Building Materials, 2019, 236:No.117480.
[1] Wen-yuan XU,Wei LI,Da-yang WANG,Yong-cheng JI. Damage mechanism of FRP reinforced concrete under alkali freezing coupling effect [J]. Journal of Jilin University(Engineering and Technology Edition), 2025, 55(6): 2050-2062.
[2] Sheng-qi MEI,Xiao-dong LIU,Xing-ju WANG,Xu-feng LI,Teng WU,Xiang-xu CHENG. Prediction of high strength concrete creep based on parametric MIC analysis and machine learning algorithm [J]. Journal of Jilin University(Engineering and Technology Edition), 2025, 55(5): 1595-1603.
[3] Xue-ping FAN,Du YANG,Jiu-yu LI,Qi-fan ZHAO,Yue-fei LIU. Dynamic prediction of bridge coupled extreme stresses produced by temperature and vehicle loads [J]. Journal of Jilin University(Engineering and Technology Edition), 2025, 55(5): 1588-1594.
[4] Jie YUAN,Jun-bo WANG,Xin CHEN,Xin HUANG,Ao-xiang ZHANG,An-qi CUI. Research progress on application of artificial intelligence in ultra⁃high performance concrete [J]. Journal of Jilin University(Engineering and Technology Edition), 2025, 55(3): 771-789.
[5] Yu ZHOU,Meng LI,Sheng-kui DI,Xian-zeng SHI,Dong CHEN. Analytical solution of thrust influence line of variable section two-hinged arch and application of damage identification [J]. Journal of Jilin University(Engineering and Technology Edition), 2025, 55(2): 664-672.
[6] Fang-fang WEI,Li-ping LI,Qing-peng XU,You-zheng ZHAO,Jing-jing YANG. Experiment on seismic behavior of fire-fired composite shear wall with double steel plates and infill concrete after reinforcement [J]. Journal of Jilin University(Engineering and Technology Edition), 2025, 55(1): 230-244.
[7] Hao JIANG,Zheng-wen ZHAO. Experiment on shear performance of RC beams strengthened with basalt fiber grid cement-based composites [J]. Journal of Jilin University(Engineering and Technology Edition), 2025, 55(1): 211-220.
[8] Yu-dai WANG,Bin WANG,Fu-sheng MIAO,Nan MA. Freezing and expansion response of lined channels under changes in hydrothermal coupling [J]. Journal of Jilin University(Engineering and Technology Edition), 2025, 55(1): 256-268.
[9] Yong-xin SUN,Peng-zhen LIN,Zi-jiang YANG,Wei JI. Calculation method for crack width of UHPC beams considering bond slip effect [J]. Journal of Jilin University(Engineering and Technology Edition), 2024, 54(9): 2600-2608.
[10] Wei-song YANG,An ZHANG,Wei-xiao XU,Hai-sheng LI,Ke DU. Seismic performance of stiffness enhanced metal coupling beam damper [J]. Journal of Jilin University(Engineering and Technology Edition), 2024, 54(9): 2469-2483.
[11] Jin-song ZHU,Xin-yao TONG,Xiao-xu LIU. Flexural behavior of ultra-high performance concrete joint without formwork in prefabricated small box girder bridges [J]. Journal of Jilin University(Engineering and Technology Edition), 2024, 54(9): 2568-2580.
[12] Jin-quan ZHAO,Long ZHOU,Yong-gang DING,Rong-ji ZHU. Experiment on anchoring performance of spiral stirrup-corrugated pipe grout splicing [J]. Journal of Jilin University(Engineering and Technology Edition), 2024, 54(9): 2484-2494.
[13] Feng-guo JIANG,Yu-ming ZHOU,Li-li BAI,Shuang LIANG. Improved krill algorithm and its application in structural optimization [J]. Journal of Jilin University(Engineering and Technology Edition), 2024, 54(8): 2256-2266.
[14] Qi-wu YAN,Zhong-liang ZOU. Hybrid algorithm for seismic energy-dissipated structures based on optimal placement of dampers [J]. Journal of Jilin University(Engineering and Technology Edition), 2024, 54(8): 2267-2274.
[15] Guang-tai ZHANG,Cheng-xiao ZHOU,Shi-tuo LIU. Restoring force model of fiber lithium slag concrete column in saline soil environment [J]. Journal of Jilin University(Engineering and Technology Edition), 2024, 54(7): 1944-1957.
Viewed
Full text


Abstract

Cited

  Shared   
  Discussed   
No Suggested Reading articles found!