吉林大学学报(工学版) ›› 2025, Vol. 55 ›› Issue (11): 3534-3543.doi: 10.13229/j.cnki.jdxbgxb.20240052

• 车辆工程·机械工程 • 上一篇    

基于失效模式和动态贝叶斯网络的数控机床可靠性分析

黄贤振1,2(),李超1,孙超1,邱开慧3   

  1. 1.东北大学 机械工程与自动化学院,沈阳 110819
    2.东北大学 航空动力装备振动及控制教育部重点实验室,沈阳 110819
    3.武汉钢铁有限公司,武汉 430080
  • 收稿日期:2024-01-22 出版日期:2025-11-01 发布日期:2026-02-03
  • 作者简介:黄贤振(1982-),男,教授,博士.研究方向:机械与系统可靠性.E-mail:xzhhuang@mail.neu.edu.cn
  • 基金资助:
    国家自然科学基金项目(U23B2098);国家自然科学基金项目(U22B2087);辽宁省应用基础研究计划项目(2023JH2/101300160)

Reliability analysis of CNC machine tools based on failure modes and dynamic bayesian networks

Xian-zhen HUANG1,2(),Chao LI1,Chao SUN1,Kai-hui QIU3   

  1. 1.School of Mechanical Engineering and Automation,Northeastern University,Shenyang 110819,China
    2.Key Laboratory of Vibration and Control of Aero-Propulsion Systems Ministry of Education of China,Northeastern University,Shenyang 110819,China
    3.Wuhan Iron & Steel Co. ,Ltd. ,Wuhan 430080,China
  • Received:2024-01-22 Online:2025-11-01 Published:2026-02-03

摘要:

针对数控机床系统可靠性分析复杂的问题,将故障模式影响及危害性分析方法和动态贝叶斯网络相结合,建立了可靠性分析模型。首先,分析了数控机床的故障原因、故障模式以及主要故障零部件,并结合专家意见对故障原因进行了风险评估。然后,基于数控机床的故障模式表和故障数据构建了动态贝叶斯网络可靠性模型的结构和参数。通过该模型对系统的状态变化、故障零部件的重要性、子系统的重要性以及各零部件的状态变化进行了分析,并对模型分析的结果与传统的蒙特卡洛方法进行了对比验证。

关键词: 机械设计, 数控机床, 可靠性分析, 故障模式影响及危害性分析, 动态贝叶斯网络

Abstract:

In order to solve the complex problem of reliability analysis of CNC machine tool system, this paper combines the failure mode influence and hazard analysis method with the dynamic Bayesian network to establish a reliability analysis model. Firstly, the failure causes, failure modes and main fault parts of CNC machine tools were analyzed, and the risk assessment of the failure causes was carried out in combination with expert opinions. Then, based on the failure mode table and fault data of the CNC machine tool, the structure and parameters of the dynamic Bayesian network reliability model were constructed. The state change of the system, the importance of the faulty parts, the importance of the subsystem and the state changes of each component are analyzed by the model, and the results of the model analysis are compared with the traditional Monte Carlo method.

Key words: mechanical design, CNC machine tools, reliability analysis, failure mode impact and hazard analysis, dynamic Bayesian networks

中图分类号: 

  • TG659

表 1

数控机床子系统及其零部件代码表"

系统零部件
代码名称代码名称代码名称代码名称代码名称
JCS基础系统CS床身LZ立柱DZ底座DG导轨
ZS主传动系统ZZX主轴箱ZZ主轴ZC滚动轴承MFQ密封圈
SJ锁紧螺母GZC钢栅尺PD皮带DJ1电机
YG油管LM螺帽LG拉杆YGT油缸
KP卡盘
TYS台尾系统TWY台尾液压组件TT套筒DJ顶尖
JJS进给系统SF伺服电机DL同步带轮ZC轴承SG丝杠
DJS刀架系统LQG冷却管路GJT管接头BMQ编码器SFDJ伺服刀架
DCF电磁阀
DQS电气系统DC电气控制箱XL线路
YYS液压系统YDCF电磁阀YB游标YYB液压泵
RHS润滑系统FYH分油环RHB润滑泵
LQS冷却系统YWJ液位计LQSG冷却水管LQB冷却水泵
PXS排屑系统PXQ排屑器JXC接屑车DDJ电动机
SKS数控系统XSZ显示装置DB底板DYB电源板ZXB总线板
FHS防护系统FHM防护门FHZ防护罩

表 2

数控机床主要零部件故障模式表"

编号故障模式编号故障模式编号故障模式编号故障模式
FM1床身断裂FM26编码器报警FM51滚珠丝杠润滑不良FM76液压泵泄压
FM2床身变形FM27皮带松动FM52滚珠丝杠副噪声FM77润滑油泵压力不足
FM3立柱断裂FM28皮带断裂FM53滚珠丝杠不灵活FM78润滑泵吸油不足
FM4立柱变形FM29皮带磨损FM54刀架不出水FM79分油环漏油
FM5底座破裂FM30漏油FM55刀架漏水FM80冷却泵底座漏水
FM6底座变形FM31无法装夹FM56刀架冷却漏水FM81冷却泵不上水
FM7导轨松动FM32夹紧机构松动FM57编码器松动FM82冷却水管漏水
FM8导轨磨损FM33夹紧机构磨损FM58编码器损坏FM83液位报警
FM9主轴箱铸造缺陷FM34锁紧油缸漏油FM59刀架不转位FM84排屑器不转
FM10主轴箱刚度不足FM35锁紧部位松动FM60刀架转不停FM85排屑器卡死
FM11主轴箱定位孔精度低FM36卡盘无动作FM61刀架转不到位FM86接屑车漏水
FM12主轴定位故障FM37卡盘无法夹紧FM62刀架锁不紧FM87电机烧坏
FM13主轴发热过大FM38卡盘无动作FM63换刀卡住FM88电机运转不稳
FM14主轴噪声过大FM39卡盘压力无法调节FM64刀具交换时掉刀FM89显示器无图像
FM15主轴停转FM40电机损坏FM65刀架报警FM90显示器无响应
FM16主轴无变速FM41电机线路故障FM66刀架不反转只正转FM91元件松动
FM17轴承磨损FM42液压套筒无动作FM67刀架不定位FM92线路、电路短路
FM18轴承过度发热FM43顶尖顶不紧FM68电气控制箱故障FM93线路接错
FM19轴承零件损坏FM44台尾油路漏油FM69线路断开或松脱FM94防护门紧
FM20密封圈腐蚀FM45压力不稳定FM70滑阀卡住FM95防护门卡死
FM21密封圈磨损FM46电机噪声大FM71电磁铁故障FM96防护门合不上
FM22密封圈物理失效FM47同步带轮裂纹FM72电磁铁响声大FM97防护罩脱落
FM23锁紧螺母断裂FM48工件出现波纹FM73游标漏油FM98防护罩漏水
FM24锁紧螺母腐蚀FM49工件加工误差大FM74液压油泄露
FM25锁紧螺母疲劳FM50加工工件粗糙度高FM75异常噪声、振动

图 1

FMECA-DBN模型图"

图 2

数控机床FMECA-DBN模型"

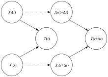
图 3

DBN结构图"

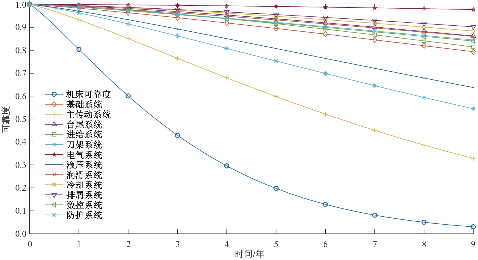
图 4

数控机床及子系统可靠度变化曲线"

图 5

主轴各状态随时间变化图"

图 6

各子系统重要度"

图 7

零部件可靠度及重要度"

图 8

蒙特卡洛与FMECA-DBN对比图"

表 3

蒙特卡洛与FMECA-DBN结果对比"

可靠度MC方法FMECA-DBN相对误差/%
R(0)110.00
R(1)0.803 9220.803 848 80.01
R(2)0.601 2950.600 746 10.09
R(3)0.429 0120.429 308 20.07
R(4)0.295 4280.295 915 00.16
R(5)0.197 3950.197 676 70.14
R(6)0.128 2580.128 378 40.09
R(7)0.081 1260.081 236 80.14
R(8)0.050 2010.050 174 50.05
R(9)0.030 4080.030 288 40.39

图 9

蒙特卡洛方法计算耗时变化图"

表 4

DBN方法与Birnbaum重要度对比"

系统名称DBN方法排序Birnbaum排序
基础系统0.085 15840.820 0534
主传动系统0.343 62010.861 9451
台尾系统0.035 22990.809 4429
进给系统0.048 34480.811 5458
刀架系统0.188 81720.834 7662
电气系统0.004 209120.804 51312
液压系统0.151 71230.828 5043
润滑系统0.052 48770.812 2117
冷却系统0.028 983100.808 44510
排屑系统0.027 211110.808 16211
数控系统0.064 73450.814 1875
防护系统0.062 31660.813 7966
[1] 陈红霞, 李宏悦, 包斯日古楞, 等. 某重型数控机床可靠性建模及评估研究[J]. 机床与液压, 2024,52(12): 239-243.
Chen Hong-xia, Li Hong-yue, Bao Si-ri-gu-leng, et al. Research on reliability modeling and evaluation of a heavy-duty CNC machine tool[J]. Machine Tools and Hydraulics, 2024, 52(12): 239-243.
[2] Stamatis D H. Failure Mode and Effect Analysis[M]. Welshpool: Quality Press, 2003.
[3] Lee W S, Grosh D L, Tillman F A, et al. Fault tree analysis, methods, and applications: a review[J]. IEEE Transactions on Reliability, 1985, 34(3): 194-203.
[4] Cowles M K, Carlin B P. Markov chain monte carlo convergence diagnostics: a comparative review[J]. Journal of the American Statistical Association, 1996, 91(434): 883-904.
[5] 王刚, 陈捷, 王华, 等. 基于FMECA的数控转台可靠性分析[J]. 南京工业大学学报: 自然科学版, 2018, 40(4): 52-58.
Wang Gang, Chen Jie, Wang Hua, et al. Reliability analysis of CNC turntable based on FMECA[J]. Journal of Nanjing University of Technology (Natural Science Edition), 2018, 40(4): 52-58.
[6] 章浩然, 洪荣晶, 陈复兴, 等. 基于FMECA和模糊评判的数控机床可靠性分析方法[J]. 制造技术与机床, 2020(11): 125-129.
Zhang Hao-ran, Hong Rong-jing, Chen Fu-xing, et al. Reliability analysis method of CNC machine tools on FMECA and fuzzy evaluation[J]. Manufacturing Technology and Machine Tool, 2020(11): 125-129.
[7] 陈红霞, 王纪华, 马爱博, 等. 基于模糊故障树的某重型数控机床主轴系统可靠性分析[J]. 机床与液压, 2022,50(24):165-170.
Chen Hong-xia, Wang Ji-hua, Ma Ai-bo, et al. Reliability analysis of a heavy-duty CNC machine tool spindle system based on fuzzy fault tree[J]. Machine Tools and Hydraulics, 2022, 50(24): 165-170.
[8] 吴军, 邵新宇, 邓超. 隐马尔科夫链模型在装备运行可靠性预测中的应用[J]. 中国机械工程, 2010, 21(19): 2345-2349.
Wu Jun, Shao Xin-yu, Deng Chao. Application of hidden Markov chain model in equipment operation reliability prediction[J]. Chinese Mechanical Engineering, 2010, 21(19): 2345-2349.
[9] 郑玉彬, 申桂香, 张英芝, 等. 基于贝叶斯网络的链式刀库系统重要度分析[J]. 吉林大学学报: 工学版, 2019, 49(2): 466-471.
Zheng Yu-bin, Shen Gui-xiang, Zhang Ying-zhi, et al. Importance analysis of chain-type tool magazine system based on Bayesian network[J].Journal of Jilin University (Engineering and Technology Edition) 2019, 49(2): 466-471.
[10] Mi J, Li Y F, Peng W, et al. Reliability analysis of complex multi-state system with common cause failure based on evidential networks[J]. Reliability Engineering & System Safety, 2018, 174: 71-81.
[11] Zuo F, Jia M, Wen G, et al. Reliability modeling and evaluation of complex multi-state system based on bayesian networks considering fuzzy dynamic of faults[J]. CMES-Computer Modeling in Engineering & Sciences, 2021, 129(2): 993-1012.
[12] Li H, Deng Z M, Golilarz N A, et al. Reliability analysis of the main drive system of a CNC machine tool including early failures[J]. Reliability Engineering & System Safety, 2021, 215: 107846.
[13] 王立平, 朱斌, 吴军, 等. 基于贝叶斯网络的盘式刀库故障分析[J]. 吉林大学学报: 工学版, 2022, 52(2):280-287.
Wang Li-ping, Zhu Bin, Wu Jun, et al.Fault analysis of circular tool magazine based on Bayesian network[J].Journal of Jilin University (Engineering and Technology Edition), 2022, 52(2): 280-287.
[14] 葛红玉, 王拓, 刘园, 等. 基于贝叶斯网络推理的数控机床元动作装配情景异常识别[J]. 机械设计, 2023, 40(4): 36-42.
Ge Hong-yu, Wang Tuo, Liu Yuan, et al. CNC machine tool element action assembly scenario anomaly identification based on Bayesian network reasoning [J]. Mechanical Design, 2023, 40(4): 36-42.
[15] Zúñiga A A, Fernandes J F P, Branco P J C. Fuzzy-based failure modes, effects, and criticality analysis applied to cyber-power grids[J]. Energies, 2023, 16(8): 3346.
[16] Yu L, Zhang T, Tian H, et al. FMECA of CNC machine tool design stage based on CBWM and DEA[J]. Quality and Reliability Engineering International, 2024, 40(1):154-169.
[17] Liu H C, Liu L, Bian Q H, et al. Failure mode and effects analysis using fuzzy evidential reasoning approach and grey theory[J]. Expert Systems with Applications, 2011, 38(4): 4403-4415.
[18] Friedman N, Koller D. Bayesian approach to structure discovery in Bayesian networks[J]. Machine Learning, 2003, 50(1/2): 95-125.
[19] Andrews J D, Beeson S. Birnbaum's measure of component importance for noncoherent systems[J]. IEEE Transactions on Reliability, 2003, 52(2): 213-219.
[1] 姚宗伟,陈辰,高振云,靳鸿鹏,荣浩,李学飞,黄虹溥,毕秋实. 基于合成图像数据集的挖掘机关键点识别[J]. 吉林大学学报(工学版), 2026, 56(1): 76-85.
[2] 刘志峰,李伟宁,齐宝宝,陈传海,侍威,张兆晶,谭晓庆,邬昌军. 行星滚柱丝杠滚滑运动机理分析及试验[J]. 吉林大学学报(工学版), 2025, 55(9): 2892-2901.
[3] 刘长钊,宋健,李峥琪,张铁,王磊. 考虑动力学性能的高速薄壁齿轮多目标优化[J]. 吉林大学学报(工学版), 2025, 55(8): 2487-2500.
[4] 黄贤振,马明斐,李超,王旭,荣治明. 机床回转工作台变形全局可靠性灵敏度分析[J]. 吉林大学学报(工学版), 2025, 55(6): 1906-1914.
[5] 刘志峰,陈继民,李迎,赵永胜,闫兴,孙富权. 数控机床线轨装配精度建模及控制方法[J]. 吉林大学学报(工学版), 2025, 55(5): 1536-1543.
[6] 付学中,何厚冰,刘旭东,李静珍. 非正交偏置变位一体化的斜齿面齿轮齿宽设计[J]. 吉林大学学报(工学版), 2025, 55(4): 1207-1214.
[7] 宋剑锋,黄鑫磊,王思然,谢光耀,董永刚. C80列车长大下坡周期制动踏面疲劳寿命预测[J]. 吉林大学学报(工学版), 2025, 55(3): 866-876.
[8] 陈一馨,陈再续,刘永生,杨帅,郭浩杰,贾晋三. 基于改进深度代理模型的挖掘机铲斗结构优化设计[J]. 吉林大学学报(工学版), 2025, 55(11): 3485-3497.
[9] 王淑坤,冯育泽,张景然,张心明,郑龙. 仿清道夫下唇结构除污性能分析[J]. 吉林大学学报(工学版), 2025, 55(1): 392-400.
[10] 黄贤振,于瑞,刘慧珍,唐继武. 考虑轴承非线性恢复力的主轴振动可靠性分析[J]. 吉林大学学报(工学版), 2025, 55(1): 116-124.
[11] 王琛,雒特,惠倩倩,王忠昊,王方方. 面向分体式飞行汽车对接锁定的机电系统设计与验证[J]. 吉林大学学报(工学版), 2024, 54(8): 2130-2140.
[12] 刘洋. 橡胶鞋底弹性打磨仿真及试验[J]. 吉林大学学报(工学版), 2024, 54(8): 2167-2173.
[13] 刘洋,江涛. 计及安装角的六自由度平台虎克铰干涉计算模型[J]. 吉林大学学报(工学版), 2024, 54(6): 1519-1527.
[14] 王磊,李东侠,周松,回丽,沈振鑫. 2024-O铝合金搅拌摩擦焊接头疲劳裂纹扩展行为及寿命预测[J]. 吉林大学学报(工学版), 2024, 54(6): 1563-1569.
[15] 蔡安江,王沛彭,王晨曦,李玲. 多主轴头数控机床虚拟仿真加工平台的构建方法[J]. 吉林大学学报(工学版), 2024, 54(6): 1528-1536.
Viewed
Full text


Abstract

Cited

  Shared   
  Discussed   
No Suggested Reading articles found!