Journal of Jilin University(Engineering and Technology Edition) ›› 2025, Vol. 55 ›› Issue (8): 2539-2547.doi: 10.13229/j.cnki.jdxbgxb.20231395

Previous Articles    

Corrosion resistance and inhibition mechanism of benzotriazole doped graphene/polyaniline/epoxy composite coatings

Hong-ling LI()   

  1. School of Chemistry & Materials Engineering,Xinxiang University,Xinxiang 453003,China
  • Received:2023-11-26 Online:2025-08-01 Published:2025-11-14

Abstract:

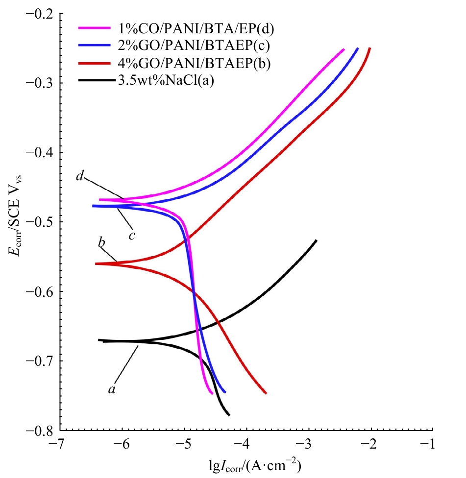
To improve the corrosion resistance of GO/PANI/BTA/EP coating on the surface of 6061 aluminum alloy and explore its corrosion inhibition mechanism,graphene oxide (GO)/polyaniline (PANI) nanoparticles were prepared by in-situ copolymerization method. The corrosion inhibitor benzotriazole (BTA) was adsorbed on the surface of GO/PANI nanoparticles through physical adsorption, resulting in GO/PANI/BTA.The infrared spectrum shows that a layer of BTA has been successfully loaded onto the surface of GO/PANI. The adsorption rate of the loaded BTA on the surface of GO/PANI can reach 18.36%, and the release rate after 5 hours can reach over 90%, providing effective protection for aluminum alloys. The polarization curve and immersion experiment results show that the epoxy coating (GO/PANI/BTA/EP) with 1% GO/PANI/BTA added has excellent corrosion resistance. The self corrosion potential of 1% GO/PANI/BTA/EP is -0.267 V, which is 0.247 V higher than that of GO/PANI/EP; The self corrosion current density is 9.795×10-9A?cm-2, higher than GO/PANI/EP (self corrosion current density of 7.638×10-7A?cm-2) is two orders of magnitude lower. The 1% GO/PANI/BTA/EP composite coating has excellent corrosion resistance, and its corrosion inhibition mechanism comes from the organic combination of graphene oxide shielding, polyaniline passivation, and BTA corrosion inhibition, achieving a synergistic effect.

Key words: graphene oxide, polyaniline, benzotriazole, corrosion resistance, corrosion inhibition mechanism

CLC Number: 

  • TG174.4

Table1

Chemical composition of 6061Aluminium alloy"

SiFeCuMnMgCrZnTiAl
0.4~0.80.700.15~0.40.150.18~1.20.04~0.350.50.250.15余量

Fig.1

SEM images of GO/PANI/BTA at different magnifications"

Fig.2

FTIR spectrogram"

Fig.3

Polarization curves of GO/PANI/EP and different concentrations of GO/PANI/BTA/ EP immersed in 3.5% NaCl solution for 28 days"

Table2

Polarization curve fitting results of GO/PANI/EP and different concentrations of GO/PANI/BTA/EP"

涂层

自腐蚀

电位/V

自腐蚀电流密度

/(A?cm-2

GO/PANI/EP-0.5147.638×10-7
1%GO/PANI/BTA/EP-0.2675.582×10-9
2%GO/PANI/BTA/EP-0.5296.743×10-8
4%GO/PANI/BTA/EP-0.4325.831×10-8

Fig.4

Surface morphology of different coatings before and after soaking in 3.5% NaCl solution for 28 days"

Fig.5

Corrosion microstructure of scratch surfaces of different coatings after soaking in 3.5% NaCl solution for 28 days, magnified 500 times"

Fig.6

BTA content absorbance curve and BTA release rate time curve"

Fig.7

Polarization curve"

Fig.8

Cross section SEM images of different coatings"

Fig.9

Molecular structure of [BTA-Al -BTA] n"

[1] Huang G L, Xue M L, Zi Y Z. Review on the corrosion and protection mechanism of metal materials[J]. World Nonferrous Metals, 2018(6): 217-218.
[2] Zhang D Q, Gao L X, Zhou G D. Research, development and prospect of corrosion inhibitors athome and abroad[J]. Corrosion and Protection, 2009, 30: 604-610.
[3] Zou X, Xiang Q, Hao J, et al. Scalable modulation of reduced graphene oxide properties via regulatinggraphite oxide precursors[J]. Journal of Alloys and Compounds, 2019, 791: 423-430.
[4] 黎晓琳, 孔纲, 车淳山, 等. 改性氧化石墨烯在金属防腐蚀涂层中的研究进展[J]. 电镀与涂饰, 2021, 40(12): 929-936.
Li Xiao-lin, Kong Gang, Che Chun-shan,et al. Research progress of modified graphene oxide in metal anti-corrosion coatings[J]. Electroplating and Coating, 2021, 40(12): 929-936.
[5] Mohammadkhani R, Ramezanzadeh M, Saadatmandi S, et al. Designing a dual-functional epoxy composite system with self-healing/barrier anti-corrosion performance using graphene oxide nano-scale platforms decorated with zinc doped-conductive polypyrrole nanoparticles with great environmental stability and non-toxicity[J].Chemical Engineering Journal, 2020,382: 122819.
[6] Hao Y S, Zhao Y F, Li B, et al. Self-healing effect of graphene@PANI loaded with benzotriazole for carbon steel [J]. Corrosion Science, 2020, 163: 108246.
[7] Kasaeian M, Ghasemi E, Ramezanzadeh B, et al. Construction of a highly effective self-repair corrosion-resistant epoxy composite through impregnation of 1H-Benzimidazole corrosion inhibitor modified graphene oxide nanosheets (GO-BIM)[J]. Corrosion Science, 2018, 145: 119-134.
[8] Garcia H M, Jimenez M A, Casal B, et al. Preparation and electrochemical study of cerium-silica sol-gel thin films[J]. Journal of Alloys and Compounds, 2004, 380(1/2): 219-224.
[9] Shchukin D G, Möhwald H. Self-repairing coatings containing active nanoreservoirs[J]. Small, 2007, 3(6): 926-943.
[10] Zhou Y, Zuo Y, Lin B. The compounded inhibition of sodium molybdate and benzotriazole on pitting corrosion of Q235 steel in NaCl+NaHCO3 solution[J]. Materials Chemistry and Physics, 2017, 192: 86-93.
[11] Huang Y, Liu T, Ma L, et al. Saline-responsive triple-action self-healing coating for intelligent corrosion control[J]. Materials & Design, 2022, 214: 110381.
[12] 赵一帆. 聚苯胺纳米自修复涂层的制备及防腐机理研究[D]. 沈阳: 沈阳化工大学材料科学与工程学院, 2019.
Zhao Yi-fan. Preparation and anti-corrosion mechanism of polyaniline nano self-healing coatings[D]. Shenyang: School of Materials Science and Engineering, Shenyang University of Chemical Technology, 2019
[13] 闭锦叶. 负载苯并三氮唑的聚苯胺/环氧涂层的制备及防腐性能研究[D]. 广州: 华南理工大学机械与汽车工程学院, 2022.
Bi Jin-ye. Preparation and anti-corrosion performance of polyaniline/epoxy coatings loaded with benzotriazole[D]. Guangzhou: School of Machanical & Automotive Engineering, South China University of Technology, 2022
[14] Cai K, Zuo S, Luo S, et al. Preparation of polyaniline/graphene composites with excellent anti-corrosionproperties and their application in waterborne polyurethane anticorrosive coatings[J]. RSC Advances, 2016(98): 95965-95972.
[15] Chang C H, Huang T C, Peng C W, et al. Novel anticorrosion coatings prepared frompolyaniline/graphene composites[J]. Carbon, 2012, 50(14): 5044-5051.
[16] Jafari Y, Ghoreishi S M, Shabani N M. Polyaniline/graphene nanocomposite coatings oncopper: electropolymerization, characterization, and evaluation of corrosion protection performance[J]. Synthetic Metals, 2016, 217: 220-230.
[17] Sheng X, Cai W, Li Z, et al. Synthesis of functionalized graphene/polyaniline nanocomposites witheffective synergistic reinforcement on anticorrosion[J]. Industrial & Engineering Chemistry Research, 2016, 55(31): 8576-8585.
[18] 李红玲. KH-151硅烷改性纳米ZrO2对铝合金表面环氧树脂涂层防护性能的影响[J]. 腐蚀与防护,2023, 44(9): 83-89.
Li Hong-ling. The effect of KH-151 silane modified nano ZrO2 on the protective performance of epoxy resin coatings on aluminum alloy surfaces [J]. Corrosion and Protection, 2023, 44(9): 83-89.
[19] Liu X, Zhang D, Hou P, et al. Preparation and characterization of polyelectrolyte-modified attapulgite as nanocontainers for protection of carbon steel[J]. Journal of the Electrochemical Society, 2018, 165(13): 907-915.
[20] Gao Z, Feng W, Chang J, et al. Chemically grafted graphene-polyaniline composite for application in supercapacitor[J]. Electrochimica Acta, 2014, 133(7): 325-334.
[21] Chatterjee S, Layek R K, Nandi A K. Changing the morphology of polyaniline from a nanotube to a flat rectangular nanopipe by polymerizing in the presence of amino-functionalized reduced graphene oxide and its resulting increase in photocurrent[J]. Carbon, 2013, 52: 509-519.
[22] Kotal M, Bhowmick A K. Multifunctional hybrid materials based on carbon nanotube chemically bonded to reduced graphene oxide[J]. Journal of Physical Chemistry C, 2013, 117(48): 25865-25875.
[23] Cruz S R, Romero G J, Angulo S J L, et al. Comparative study of polyaniline cast films prepared from enzymatically and chemically synthesized polyaniline[J]. Polymer, 2004, 45(14): 4711-4717.
[24] Poling G W. Reflection infra-red studies of films formed by benzotriazole on Cu[J]. Corrosion Science,1970, 10(5): 359-370.
[25] Chen Y, Jiang Y Y, Ye Z Y, et al. Adsorption dynamics of benzotriazole on copper in chloride solution[J]. Corrosion, 2013, 69(9): 886-892.
[26] Zhang B, He C, Cheng W, et al. Synergistic corrosion inhibition of environment-friendly inhibitors on the corrosion of carbon steel in soft water[J]. Corrosion Science, 2015, 94(5): 6-20.
[27] Okafor P C, Zheng Y. Synergistic inhibition behaviour of methylbenzyl quaternary imidazoline derivative and iodide ions on mild steel in HSO solutions[J]. Corrosion Science, 2009, 51(4): 850-859.
[28] Ramezanzadeh B, Niroumandrad S, Ahmadi A, et al. Enhancement of barrier and corrosion protection performance of an epoxy coating through wet transfer of amino functionalized graphene oxide[J]. Corrosion Science, 2016, 103: 283-304.
[29] Gupta G, Birbilis N, Cook A B, et al. Polyaniline-lignosulfonate/epoxy coating for corrosion protection of AA2024-T3[J]. Corrosion Science, 2013, 67: 256-267.
[30] Fahlman M, Jasty S, Epstein A J. Corrosion protection of iron/steel by emeraldine base polyaniline: an X-ray photoelectron spectroscopy study[J]. Synthetic Metals, 1997, 85(1): 1323-1326.
[31] Chen Z, Huang L, Zhang G, et al. Benzotriazole as a volatile corrosion inhibitor during the early stage of copper corrosion under adsorbed thin electrolyte layers[J]. Corrosion Science, 2012, 65: 214-222.
[32] Gattinoni C, Michaelides A. Understanding corrosion inhibition with van der Waals DFT methods: the case of benzotriazole[J]. Faraday Discussions, 2015, 180: 439-458.
[1] Hong-liang XIANG,Sheng-tao CHEN,Li-ping DENG,Wei ZHANG,Tu-sheng ZHAN. Microstructure and properties of microalloying 2205 duplex stainless steel [J]. Journal of Jilin University(Engineering and Technology Edition), 2020, 50(5): 1645-1652.
[2] Qing-feng GUAN,Xin-wen YAO,Yang YANG,Ling-yan ZHANG,Di LIU,Chen LI,Peng LYU. Preparation and property of Cr alloying layer on TC4 after surface alloying induced by high current pulsed electron beam [J]. Journal of Jilin University(Engineering and Technology Edition), 2019, 49(6): 2002-2009.
[3] Jin⁃zhong LU,Wan⁃ting ZHOU,Sheng⁃yang ZHANG,Yi⁃kai SHAO,Chang⁃yu WANG,Kai⁃yu LUO. Effect of coverage layer on corrosion resistance of 6061⁃T6 aluminum alloy subjected to laser shock peening [J]. Journal of Jilin University(Engineering and Technology Edition), 2019, 49(3): 842-849.
[4] GUAN Qing-feng, DONG Shu-heng, ZHENG Huan-huan, LI Chen, ZHANG Cong-lin, LV-Peng. Cr surface alloying of 45# steel by high-current pulsed electron beam treatment [J]. 吉林大学学报(工学版), 2018, 48(4): 1161-1168.
[5] GUAN Qing-feng, ZHANG Yuan-wang, SUN Xiao, ZHANG Chao-ren, LYU Peng, ZHANG Cong-lin. Surface alloying of Al-W alloy by high current pulsed electron beam treatment [J]. 吉林大学学报(工学版), 2017, 47(4): 1171-1178.
[6] YANG Yue, ZHOU Lei-lei. Effect of micro-arc oxidation treatment on corrosion resistance of aluminum friction stir welding welds [J]. 吉林大学学报(工学版), 2016, 46(2): 511-515.
[7] GUAN Qing-feng, LI Yan, HOU Xiu-li, YANG Sheng-zhi, WANG Xiao-tong. Modification of solid solution Mg-Gd-Y-Nd alloy irradiated by high current pulsed electron beam [J]. 吉林大学学报(工学版), 2015, 45(4): 1200-1205.
[8] GUAN Qing-feng,JI Le,CAI Jie,YANG Sheng-zhi,LIU Shi-chao,ZHANG Zai-qiang,HOU Xiu-li. Surface microstructure and properties of 3Cr13 martensitic stainless steel after high current pulsed electron beam bombardment [J]. 吉林大学学报(工学版), 2014, 44(3): 712-717.
[9] YANG Yue, CHEN Bin. Effects of SiC nano-particles on microstructure and the corrosion resistance of micro-arc oxidation films produced on aluminium alloy [J]. 吉林大学学报(工学版), 2011, 41(增刊1): 106-110.
[10] ZHANG Wen-xue, ZHOU Zhen-jun,HE Cheng,LI Gang. Chromium-free pretreatment and Ni-P alloys technology on magnesium alloy [J]. 吉林大学学报(工学版), 2011, 41(01): 78-0083.
[11] ZHANG Wen-Xue, JIANG Zhong-Hao, LIAN Jian-She. Electroless NiWP coating on magnesium alloy [J]. 吉林大学学报(工学版), 2010, 40(06): 1562-1566.
[12] Li Song,Liu Yaohui,Liu Haifeng,Pang Lei. Microarc Oxidation of Die Cast Magnesium Alloy AZ91 in Phosphate Electrolyte [J]. 吉林大学学报(工学版), 2006, 36(01): 46-0051.
[13] LI Guang-yu, LIAN Jian-she, NIU Li-yuan, JIANG Zhong-hao. Research on Treating Technology for Steel Surface Black Conversion Film [J]. 吉林大学学报(工学版), 2002, (3): 30-34.
Viewed
Full text


Abstract

Cited

  Shared   
  Discussed   
No Suggested Reading articles found!