Journal of Jilin University(Engineering and Technology Edition) ›› 2025, Vol. 55 ›› Issue (10): 3200-3207.doi: 10.13229/j.cnki.jdxbgxb.20240383

Previous Articles    

Cascading failures of mixed traffic flows in road networks considering critical density

Qing-chang LU(),Yong-quan REN,Jing LI,Xu MENG,Peng-cheng XU   

  1. School of Electronics and Control Engineering,Chang'an University,Xi'an 710064,China
  • Received:2024-04-11 Online:2025-10-01 Published:2026-02-03

Abstract:

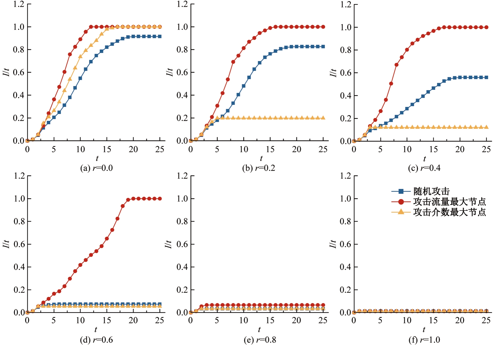
In order to investigate the road network cascading failures mechanism after the introduction of connected automated vehicles (CAV), a road network cascade failure model considering the critical density of a new type of road with mixed traffic flow is developed. The method considers the way of traffic redistribution after failures and captures the effect of mixed traffic flow on the road's ability to resist congestion. In this paper, the urban road network of Xi'an City is taken as an example to study the regular characteristics of the cascading failures of mixed traffic flow. The results show that when the CAV penetration rate reaches 0.6(critical value), the outermost nodes start to resist failures, and the propagation of cascading failures slows down significantly; after the penetration rate exceeds 0.6, the outermost nodes successfully resist failures, and the total size of failures decreases by about 91%. Failure propagation is fastest and largest when attacking the largest node of the traffic flow, and controlling the largest node of the traffic flow is the focus of cascade failure.

Key words: traffic information engineering and control, mixed traffic flow, automated driving, penetration, road critical density, cascading failures

CLC Number: 

  • U491.2

Fig.1

Topology of road traffic network in Xi'an City center area"

Fig.2

Proportion of final failed nodes after applying different external perturbations for CML andM-CML under three attack scenarios"

Fig.3

Cascading failure processes of CML and M-CML under three attack scenarios"

Fig.4

Ratio of failed nodes with different r values when attacking the most trafficked node"

Fig.5

Ratio of instantaneous failed nodes with different r values when attacking nodewith the largest traffic"

Fig.6

Comparison of failure propagation in partial time steps before and after critical permeability"

Fig.7

Ratio of cumulative failed nodes with different r values under different attack scenarios"

Fig.8

Ratio of final failed nodes with different r valuesunder different attack scenarios"

[1] 北京交通发展研究院. 2023年北京交通发展年度报告[R]. 北京: 北京交通发展研究院, 2023.
[2] Reddy V H P, Raja A R, Polasi P K, et al. Design and development of traffic light recognition method for autonomous vehicles using V2I communication[C]∥The 3rd International Conference on Artificial Intelligence and Signal Processing(AISP), Vijayawada, India,2023: 1-6.
[3] Gong Y, Zhu W. Modeling the heterogeneous traffic flow considering the effect of self-stabilizing and autonomous vehicles[J]. Chinese Physics B, 2022, 31(2): No.024502.
[4] Lu Q, Zhang L, Xu P, et al. Modeling network vulnerability of urban rail transit under cascading failures: a coupled map lattices approach[J]. Reliability Engineering & System Safety, 2022, 221: No. 108320.
[5] Zhang J, Wang Z, Wang S, et al. Vulnerability assessments of weighted urban rail transit networks with integrated coupled map lattices[J]. Reliability Engineering & System Safety, 2021, 214: No.107707.
[6] Shen Y, Ren G, Ran B. Analysis of cascading failure induced by load fluctuation and robust station capacity assignment for metros[J]. Transportmetrica A: Transport Science, 2022, 18(3): 1401-1419.
[7] Mikaberidze G, D´Souza R M. Sandpile cascades on oscillator networks: the BTW model meets Kuramoto[J]. Chaos: an Interdisciplinary Journal of Nonlinear Science, 2022, 32(5): No.053121.
[8] Mei S, He F, Zhang X, et al. An improved OPA model and blackout risk assessment[J]. IEEE Transactions on Power Systems, 2009, 24(2): 814-823.
[9] Elawady A, Abuzwidah M, Zeiada W. The benefits of using connected vehicles system on traffic delay and safety at urban signalized intersections[C]∥Advances in Science and Engineering Technology International Conferences (ASET), Dubai, UAE,2022: 1-6.
[10] Wu Y, Lin Y, Hu R, et al. Modeling and simulation of traffic congestion for mixed traffic flow with connected automated vehicles: a cell transmission model approach[J]. Journal of Advanced Transportation, 2022, 2022(1):1-20.
[11] 马庆禄, 牛圣平, 曾皓威, 等. 网联环境下混合交通流偶发拥堵演化机理研究[J]. 交通运输系统工程与信息, 2022, 22(5): 97-106.
Ma Qing-lu, Niu Sheng-ping, Zeng Hao-wei, et al. Mechanism of non-recurring congestion evolution under mixed traffic flow with connected and autonomous vehicles[J]. Journal of Transportation Systems Engineering and Information Technology, 2022, 22(5): 97-106.
[12] 石路源. 基于手自混合驾驶的道路网络级联失效演变[D]. 重庆: 重庆交通大学交通运输学院, 2020.
Shi Lu-yuan. Cascade failure evolution of road network based on manual and autonomous mixed driving[D]. Chongqing: College of Traffic and Transportation,Chongqing Jiaotong University, 2020.
[13] Zhou Z, Li L, Qu X, et al. An autonomous platoon formation strategy to optimize CAV car-following stability under periodic disturbance[J]. Physica A: Statistical Mechanics and its Applications, 2023, 626:No. 129096.
[14] Chen B, Sun D, Zhou J, et al. A future intelligent traffic system with mixed autonomous vehicles and human-driven vehicles[J]. Information Sciences, 2020, 529: 59-72.
[15] Kaneko K. Overview of coupled map lattices[J]. Chaos: an Interdisciplinary Journal of Nonlinear Science, 1992, 2(3): 279-282.
[16] 王秋玲, 朱璋元, 陈红, 等. 基于CML的级联失效下异质多层交通网络节点抵抗特性研究[J]. 中国公路学报, 2022, 35(1): 263-274.
Wang Qiu-ling, Zhu Zhang-yuan, Chen Hong, et al. Node resistance characteristic of heterogeneous multi-layer transportation networks under cascading failure based on coupled map lattice[J]. China Journal of Highway and Transport, 2022, 35(1): 263-274.
[17] Xu K, Hong C, Zhang X, et al. Cascades in coupled map lattices with heterogeneous distribution of perturbations[J]. Physica a: Statistical Mechanics and its Applications, 2020, 547: No.123839.
[18] Sun D, Jiang T, Zhao H, et al. Quantitative studies on traffic efficiency and safety variation trend of mixed traffic flow with different penetration rates of automated vehicles[C]∥The 2nd International Conference on Sustainable Energy, Environment and Information Engineering,Xi'an, China,2020.
[19] 张磊. 基于级联失效的城市轨道交通网络脆弱性研究 [D]. 西安: 长安大学电子与控制工程学院, 2022.
Zhang Lei. Research on network vulnerability of urban rail transit based on cascading failures[D]. Xi´an: College of Electronics and Control Engineering, Chang´an University, 2022.
[1] Sheng JIN,Bo-lin LI,Wei XUE. Collaborative optimization for signals and trajectories of connected automated vehicles on dedicated bus lanes [J]. Journal of Jilin University(Engineering and Technology Edition), 2025, 55(2): 566-576.
[2] Fa-cheng CHEN,Guang-quan LU,Qing-feng LIN,Hao-dong ZHANG,She-qiang MA,De-zhi LIU,Hui-jun SONG. Review of drivers' takeover behavior in conditional automated driving [J]. Journal of Jilin University(Engineering and Technology Edition), 2025, 55(2): 419-433.
[3] Bing ZHU,Tian-xin FAN,Wen-bo ZHAO,Wei-nan LI,Pei-xing ZHANG. Continuous test scenario complexity evaluation method for automated driving vehicles [J]. Journal of Jilin University(Engineering and Technology Edition), 2025, 55(2): 456-467.
[4] Chang-shuai WANG,Cheng-cheng XU,Wei-lin REN,Chang PENG,Hao TONG. Impacts of driving ability recovery state on characteristics of traffic oscillation in automated driving takeover process [J]. Journal of Jilin University(Engineering and Technology Edition), 2025, 55(1): 150-161.
[5] Xiu-jian YANG,Xiao-han JIA,Sheng-bin ZHANG. Characteristics of mixed traffic flow taking account effect of dynamics of vehicular platoon [J]. Journal of Jilin University(Engineering and Technology Edition), 2024, 54(4): 947-958.
[6] Wei-hua ZHANG,Jia-ming LIU,Li-peng XIE,Heng DING. Lane⁃changing model of autonomous vehicle in weaving area of expressway in intelligent and connected mixed environment [J]. Journal of Jilin University(Engineering and Technology Edition), 2024, 54(2): 469-477.
[7] Cheng-ju SONG,Hong-fei JIA,Hao-fu QIN. Car following stability in mixed traffic flow with CAVs mixing [J]. Journal of Jilin University(Engineering and Technology Edition), 2024, 54(2): 419-426.
[8] Hui SONG,Da-yi QU,Shao-jie WANG,Tao WANG,Zi-yi YANG. Connected mixed traffic flow car-following model and stability analysis considering multiple vehicles response [J]. Journal of Jilin University(Engineering and Technology Edition), 2024, 54(11): 3220-3230.
[9] Liu YANG,Chuang-ye WANG,Meng-yan WANG,Yang CHENG. Traffic flow characteristics of six⁃lane freeways with a dedicated lane for automatic cars [J]. Journal of Jilin University(Engineering and Technology Edition), 2023, 53(7): 2043-2052.
[10] Bing ZHU,Tian-xin FAN,Jian ZHAO,Pei-xing ZHANG,Yu-hang SUN. Accelerate test method of automated driving system based on hazardous boundary search [J]. Journal of Jilin University(Engineering and Technology Edition), 2023, 53(3): 704-712.
[11] Rui-fa LUO,Hui-jun HAO,Tao-rang XU,Qiu-fan GU. Fundamental diagram model of mixed traffic flow of connected and automated vehicles considering vehicles degradations and platooning intensity [J]. Journal of Jilin University(Engineering and Technology Edition), 2023, 53(2): 405-412.
[12] Yan-yan QIN,Xiao-qing YANG,Hao WANG. Impacts of CO2 emissions and improving method for connected and automated mixed traffic flow [J]. Journal of Jilin University(Engineering and Technology Edition), 2023, 53(1): 150-158.
[13] Dong-bo LIU,Li-xiao SHEN,Lei-lei DAI,Jian LU. Traffic signal control method at isolated intersections based on multi-target radar data [J]. Journal of Jilin University(Engineering and Technology Edition), 2022, 52(10): 2456-2465.
[14] Yan-feng JIA,Da-yi QU,Lu LIN,Rong-han YAO,Xiao-long MA. Coordinated speed control of connected mixed traffic flow based on trajectory [J]. Journal of Jilin University(Engineering and Technology Edition), 2021, 51(6): 2051-2060.
[15] Chao JIA,Hong-ze XU,Long-sheng WANG. Nonlinear model predictive control for automatic train operation based on multi⁃point model [J]. Journal of Jilin University(Engineering and Technology Edition), 2020, 50(5): 1913-1922.
Viewed
Full text


Abstract

Cited

  Shared   
  Discussed   
No Suggested Reading articles found!