Journal of Jilin University(Engineering and Technology Edition) ›› 2025, Vol. 55 ›› Issue (11): 3751-3761.doi: 10.13229/j.cnki.jdxbgxb.20240295

Previous Articles    

Observation station parameter error joint multi-feature fusion attention mechanism TDOA/FDOA multi-aircraft passive localization algorithm

Duo PENG(),Ming-shuo LIU,Kun XIE   

  1. School of Computer and Artificial Intelligence,Lanzhou University of Technology,Lanzhou 730050,China
  • Received:2024-03-22 Online:2025-11-01 Published:2026-02-03

Abstract:

In the real-world positioning environment, observation stations are often set on mobile platforms, leading to measurement noise errors in the motion state information of the target to be measared as detected by the observation stations. These errors can affect the information received by the observation stations, thereby causing significant deviations in the estimation of the target source's position. To address this issue, a time-difference frequency-difference (TDOA/FDOA) multi-aircraft passive localization algorithm is proposed, which fusion the attention mechanism (AM), convolutional neural network (CNN), and bidirectional long short-term memory (BiLSTM) netwrok under observation station parameter errors. Meanwhile, which integrates an improved two-step weighted least squares method and a CNN-BiLSTM-Attention model. By correcting measurement values and improving the issue of the estimation performance degradation of the two-step method in the presence of observation noise, the accuracy of localization is improved. The results of the simulation comparisons show that the algorithm proposed in this paper demonstrates good performance in the presence of observation noise.

Key words: passive localization, time-difference frequency-difference, bidirectional long short-term memory network, attention mechanism, two-step weighted least squares

CLC Number: 

  • TP393

Fig.1

TDOA/FDOA correction framework"

Fig.2

Network structure diagram of CNN-BiLSTM-Attention model"

Fig.3

CNN structure diagram"

Fig.4

LSTM cell structure"

Fig.5

BiLSTM network structure"

Fig.6

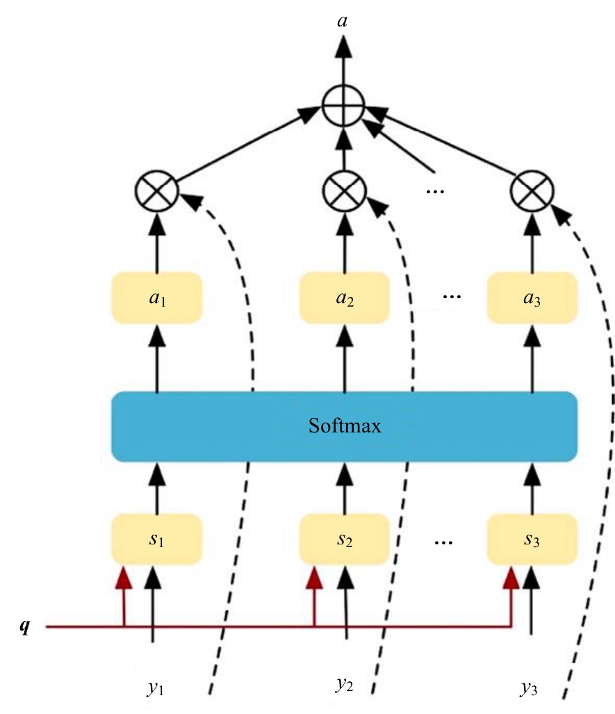
Attention mechanism"

Fig.7

TDOA/FDOA joint positioning model"

Fig.8

Comparison of prediction results of different models"

Table 1

Setting of mobile observation station position and velocity parameters"

接收机位置/m速度/(m·s-1
130010015030-2020
2400150100-301020
330050020010-2010
4350200100102030
5-100-100-100-202020

Fig.9

Error curve of target state estimation"

Table 2

Setting of mobile observation station position and velocity parameters"

接收机位置/m速度/(m·s-1
130010015030-2020
2400150100-301020
330050020010-2010
4350200100102030
5-100-100-100-202020
6-200100-100201010
7-150140-160253020

Fig.10

Estimation error curves for different number of receivers"

Fig.11

RMSE curves for different number of receivers"

[1] 钱志鸿, 王义君. 面向物联网的无线传感器网络综述[J]. 电子与信息学报, 2013, 35(1): 215-227.
Qian Zhi-hong, Wang Yi-jun. Review of wireless sensor networks for internet of things[J]. Journal of Electronics & Information Technology, 2013, 35(1):215-227.
[2] 王文宇, 朱磊, 姚昌华, 等. 机器学习助力基于优化理论的TDOA无源定位[J]. 信息与控制, 2022, 51(4): 385-399.
Wang Wen-yu, Zhu Lei, Yao Chang-hua, et al. Machine learning facilitates passive localization of TDOA based on optimization theory[J]. Information and Control, 2022, 51(4): 385-399.
[3] 于小强. 基于时差频差的多机无源定位及跟踪算法研究[D]. 哈尔滨: 哈尔滨工业大学信息与通信工程学院, 2021.
Yu Xiao-qiang. Research on multi-machine passive positioning and tracking algorithm based on time and frequency difference[D]. Harbin: School of Information and Communication Engineering, Harbin Institute of Technology, 2021.
[4] Li H, Sun M H, Zhou R H, et al.Hybrid TDOA/FDOA and track optimization of UAV swarm based on a-optimality[J]. Journal of Systems Engineering and Electronics, 2023, 34(1): 149-159.
[5] 孟宏宇, 张建良, 蔡兆龙, 等. 基于CNN-BiLSTM-Attention的直流微电网故障诊断研究[J]. 中国电机工程学报, 2025, 45(4): 1369-1381.
Meng Hong-yu, Zhang Jian-liang, Cai Zhao-long, et al. Research on fault diagnosis of DC microgrid based on CNN-BiLSTM-Attention[J]. Proceedings of the CSEE, 2025, 45(4): 1369-1381.
[6] Liu C F, Yun J W, Su J. Direct solution for fixed source location using well-posed TDOA and FDOA measurements[J]. Journal of Systems Engineering and Electronics, 2020, 31(4): 666-673.
[7] 周恭谦, 杨露菁, 刘忠. 改进的非完全约束加权最小二乘TDOA/FDOA无源定位方法[J]. 系统工程与电子技术, 2018, 40(8): 1686-1692.
Zhou Gong-qian, Yang Lu-jing, Liu Zhong. Improved non-fully constrained weighted least squares TDOA/FDOA passive localization method[J]. Systems Engineering and Electronic Technology, 2018,40(8): 1686-1692.
[8] Wang Y B, Liang X L, Zhang J Q, et al. Robust TDOA/FDOA estimation from emitter signals for hybrid localization using UAVs[J]. Defense Technology, 2022, 18(1): 81-93.
[9] 鲁亮亮. 基于多站TDOA/FDOA的通信辐射源无源定位方法研究[D]. 西安: 西安理工大学自动化与信息工程学院, 2023.
Lu Liang-liang. Research on passive localization method of communication radiation sources based on multi-station TDOA/FDOA[D]. Xi'an: School of Automation and Information Engineering, Xi 'an University of Technology, 2023.
[10] Li Y J, Hao C Y, Li M B, et al. Moving target tracking using TDOA and FDOA measurements from two UAVs with varying baseline[C]∥Proceedings of 2018 3rd International Conference on Communication, Image and Signal Processing. Bristol, UK: IOP Publishing, 2018: No.012013.
[11] 邓杏松, 亓亮, 朱元江, 等. 基于观测站精确距离信息的多站时差定位方法[J]. 系统工程与电子技术, 2024, 46(8): 2592-2599.
Deng Xing-song, Qi Liang, Zhu Yuan-jiang, et al. Multi-station time difference location method based on precise distance information of observation stations[J]. Systems Engineering and Electronics Technology, 2024, 46(8): 2592-2599.
[12] 国强, 朱国会, 李万臣. 基于混沌麻雀搜索算法的TDOA/FDOA定位[J]. 吉林大学学报: 工学版, 2023, 53(2): 593-600.
Guo Qiang, Zhu Guo-hui, Li Wan-chen. TDOA/FDOA localization based on chaotic sparrow search algorithm[J]. Journal of Jilin University (Engineering and Technology Edition), 2023, 53(2): 593-600.
[13] Leng M, Wu Y C. Localization of wireless sensor nodes with erroneous anchors via Em algorithm[C]∥ 2010 IEEE Global Telecommunications Conference GLOBECOM. Pircataway, NJ: IEEE, 2010: No.14676606.
[14] Zheng J, Wu Y C. Joint time synchronization and localization of an unknown node in wireless sensor networks[J]. IEEE Transactions on Signal Processing, 2010, 58(3): 1309-1320.
[15] Qiu D, Liu Z C, Zhou Y Q, et al. Modified bi-directional LSTM neural networks for rolling bearing fault diagnosis[C]∥IEEE International Conference on Communications. Piscataway, NJ: IEEE, 2019: No.8761383.
[16] Lu Z Y, Ba B, Wang J H, et al. A direct position determination method with combined TDOA and FDOA based on particle filter[J]. Chinese Journal of Aeronautics, 2018, 31(1): 161-168.
[17] 尹梓诺, 马海龙, 胡涛. 基于联合注意力机制和一维卷积神经网络-双向长短期记忆网络模型的流量异常检测方法[J]. 电子与信息学报, 2023, 45(10):3719-3728.
Yin Zi-nuo, Ma Hai-long, Hu Tao. Traffic anomaly detection method based on joint attention mechanism and one-dimensional convolutional neural network-bidirectional long short-term memory network model[J]. Journal of Electronics and Information Technology, 2023, 45(10): 3719-3728.
[18] Hu D X, Huang Z, Zhang S Y, et al. Joint TDOA, FDOA and differential Doppler rate estimation: Method and its performance analysis[J].Chinese Journal of Aeronautics, 2018, 31(1): 137-147.
[19] 黄东华, 赵勇胜, 赵拥军, 等. 基于DOA-TDOA-FDOA的单站无源相干定位代数解[J]. 电子与信息学报, 2021, 43(3): 735-744.
Huang Dong-hua, Zhao Yong-sheng, Zhao Yong-jun, et al. Algebraic solution of single-station passive coherent Positioning based on DOA-TDOA-FDOA[J]. Journal of Electronics & Information Technology, 2021, 43(3): 735-744.
[20] Liu C F, Yun J W. A joint TDOA/FDOA localization algorithm using bi-iterative method with optimal step length[J]. Chinese Journal of Electronics, 2021, 30(1): 119-126.
[1] Qiu-zhan ZHOU,Xin-meng LI,Hao-qing-zi SHEN,Hui-nan WU,Yuan-yuan LI,Jing RONG,Chun-hua HU,Ping-ping LIU. Non-intrusive load decomposition of unbalanced data based on attention mechanism [J]. Journal of Jilin University(Engineering and Technology Edition), 2026, 56(1): 239-246.
[2] Zhi-gang FENG,Meng-yuan REN,Bing DONG,Ming-yue YU. Rolling bearing fault diagnosis based on multi-band feature map and improved SqueezeNet [J]. Journal of Jilin University(Engineering and Technology Edition), 2026, 56(1): 96-108.
[3] Zhen HUO,Li-sheng JIN,Qiang HUA, HEYang. Edge feature⁃guided semantic segmentation method for intelligent vehicle [J]. Journal of Jilin University(Engineering and Technology Edition), 2025, 55(9): 3032-3041.
[4] Qing-lin AI,Yuan-xiao LIU,Jia-hao YANG. Small target swmantic segmentation method based MFF-STDC network in complex outdoor environments [J]. Journal of Jilin University(Engineering and Technology Edition), 2025, 55(8): 2681-2692.
[5] Yan PIAO,Ji-yuan KANG. RAUGAN:infrared image colorization method based on cycle generative adversarial networks [J]. Journal of Jilin University(Engineering and Technology Edition), 2025, 55(8): 2722-2731.
[6] Shan-na ZHUANG,Jun-shuai WANG,Jing BAI,Jing-jin DU,Zheng-you WANG. Video-based person re-identification based on three-dimensional convolution and self-attention mechanism [J]. Journal of Jilin University(Engineering and Technology Edition), 2025, 55(7): 2409-2417.
[7] Zhi-gang FENG,Shou-qi WANG,Ming-yue YU. Rolling bearing fault diagnosis based on variational mode extraction and lightweight network [J]. Journal of Jilin University(Engineering and Technology Edition), 2025, 55(6): 1883-1891.
[8] Ya-li XUE,Tong-an YU,Shan CUI,Li-zun ZHOU. Infrared small target detection based on cascaded nested U-Net [J]. Journal of Jilin University(Engineering and Technology Edition), 2025, 55(5): 1714-1721.
[9] Hua CAI,Yu-yao WANG,Qiang FU,Zhi-yong MA,Wei-gang WANG,Chen-jie ZHANG. Semantic segmentation network based on attention mechanism and feature fusion [J]. Journal of Jilin University(Engineering and Technology Edition), 2025, 55(4): 1384-1395.
[10] He-shan ZHANG,Meng-wei FAN,Xin TAN,Zhan-ji ZHENG,Li-ming KOU,Jin XU. Dense small object vehicle detection in UAV aerial images using improved YOLOX [J]. Journal of Jilin University(Engineering and Technology Edition), 2025, 55(4): 1307-1318.
[11] Yang LI,Xian-guo LI,Chang-yun MIAO,Sheng XU. Low⁃light image enhancement algorithm based on dual branch channel prior and Retinex [J]. Journal of Jilin University(Engineering and Technology Edition), 2025, 55(3): 1028-1036.
[12] Xiang WANG,Guo-zhen TAN,Yan-fei PENG,Hao REN,Jian-ping LI. Autonomous driving decision⁃making model based on language reasoning and cognitive memory [J]. Journal of Jilin University(Engineering and Technology Edition), 2025, 55(12): 3918-3927.
[13] Yun-hong LI,Mei WANG,Xue-ping SU,Li-min LI,Fu-xing ZHANG,Te-ji HAO. Road extraction from remote sensing images combining attention and context fusion [J]. Journal of Jilin University(Engineering and Technology Edition), 2025, 55(12): 4034-4044.
[14] Jing TIAN,She-qiang MA,Dan ZHAO,Fa-cheng CHEN. Vehicle travel speed estimation based on selfsupervised long shortterm memory network under single global navigation satellite system signal [J]. Journal of Jilin University(Engineering and Technology Edition), 2025, 55(12): 3852-3861.
[15] Xiao-ran GUO,Tie-jun WANG,Yue YAN. Entity relationship extraction method based on local attention and local remote supervision [J]. Journal of Jilin University(Engineering and Technology Edition), 2025, 55(1): 307-315.
Viewed
Full text


Abstract

Cited

  Shared   
  Discussed   
No Suggested Reading articles found!