Journal of Jilin University(Engineering and Technology Edition) ›› 2025, Vol. 55 ›› Issue (8): 2475-2486.doi: 10.13229/j.cnki.jdxbgxb.20231064

    Next Articles

Speed fluctuation suppression strategy of range extender based on motor torque compensation

Jin-wu GAO1,2(),Shao-long SUN1,2,Shun-yao WANG3,Bing-zhao GAO4   

  1. 1.State Key Laboratory of Automotive Simulation and Control,Jilin University,Changchun 130022,China
    2.College of Communication Engineering,Jilin University,Changchun 130022,China
    3.Zibo Special Equipment Inspection and Research Institute,Zibo 255035,China
    4.Automotive Institute,Tongji University,Shanghai 201804,China
  • Received:2023-10-09 Online:2025-08-01 Published:2025-11-14

Abstract:

To enhance the system's response speed and anti-interference capability and reduce the speed fluctuations of the range extender, a method of using generator torque to compensate for engine torque vibration is peoposed. The output torque of the engine to determine the influence of the harmonic components in the torque on the speed is analyzed. Then, a control strategy combining an adaptive backstepping method and a repetitive controller is designed. The repetitive controller is parameterized based on the fundamental frequency of the periodic torque disturbance of the system, and the stability and robustness of the system are analyzed. Finally, simulation experiments are conducted under different operating conditions, and the results show that this control strategy has good effectiveness and practicability in suppressing the speed fluctuations of the range extender.

Key words: Vehicle engineering, control theory and control engineering, speed control, torque compensation, adaptive backstepping, repetitive control

CLC Number: 

  • TP273

Fig.1

Structure of extended range electric vehicles"

Fig.2

Block diagramcontrol system structure"

Fig.3

Amplitude-frequency characteristic curve of torque observer"

Fig.4

Repetitive controller structure diagram"

Fig.5

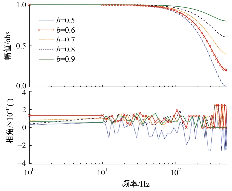
Bode plot of low-pass filter Q(z)"

Fig.6

System structure diagram"

Fig.7

Comparison of amplitude frequency characteristic curves between zN -Q(z)=0 and zN -1=0"

Fig.8

Range extender system model"

Fig.9

Engine speed characteristics based on AMESim simulation"

Table 1

Parameters of permanent magnet synchronous motor"

参数数值
相电感/H0.000 7
相电阻/Ω0.070 0
磁通/Wb0.070 0
极对数4.000 0
转动惯量/(kg·m20.100 0
黏滞摩擦因数0.001 0

Table 2

Engine parameters"

参数数值
活塞行程/mm88.20
曲柄半径/mm44.10
气缸直径/mm80.50
连杆长度/mm129.75
压缩比10.50
总排量/L0.90

Fig.10

Simulation verification under reverse towing conditions"

Fig.11

Simulation verification under engine starting conditions"

Fig.12

Range extender speed when expected speed step changes"

Fig.13

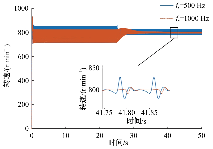
Comparison of speed suppression effect under reverse towing condition with different sampling frequencies"

[1] Sohn J, Sunwoo M, Min K, et al.Power management strategy for the 48 V mild hybrid electric vehicle based on the charge-sustaining control[J]. International Journal of Automotive Technology, 2019, 20(1): 37-49.
[2] 刘汉武, 雷雨龙, 阴晓峰, 等.增程式电动汽车增程器多点控制策略优化[J]. 吉林大学学报: 工学版, 2022, 52(8): 1741-1750.
Liu Han-wu, Lei Yu-long, Yin Xiao-feng, et al.Optimization of multi-point control strategy of range extender for extended range electric vehicles[J]. Journal of Jilin University (Engineering and Technology Edition), 2022, 52(8): 1741-1750.
[3] Guanetti J, Formentin S, Corno M, et al. Optimal energy management in series hybrid electric bicycles[J]. Automatica, 2017, 81: 96-106.
[4] Qin Y C, Tang X L, Jia T,et al. Noise and vibration suppression in hybrid electric vehicles:State of the art and challenges[J]. Renewable and Sustainable Energy Reviews, 2020, 124:No. 109782.
[5] Basma H M, Mansour C, Halaby H, et al.Methodology to design an optimal rule based energy management strategy using energetic macroscopic representation:Case of plug-in series hybrid electric vehicle[J].Advanced in Automobile Engineering, 2018, 7(3): No. 1000188.
[6] 张立军, 阚毅然, 孟德建, 等. 内燃机式增程器扭转振动的建模与分析[J]. 汽车工程, 2018, 40(9): 1101-1109.
Zhang Li-jun, Kan Yi-ran, Meng De-jian, et al.Modeling and analysis of torsional vibration of internal combustion engine range extender[J]. Automotive Engineering, 2018, 40(9): 1101-1109.
[7] Wellmann T, Govindswamy K, Tomazic D. Impact of the future fuel economy targets on powertrain, driveline and vehicle NVH development[J]. SAE International Journal of Vehicle Dynamics, Stability, and NVH, 2017, 1(2): 428-438.
[8] Hooper P R. Low noise, vibration and harshness solutions for in-line three-cylinder range extender and hybrid electric vehicles[J]. International Journal of Engine Research, 2021, 22(2): 581-591.
[9] Shen Y, Wang Y, Meng B, et al.Cooperative control strategy of power following-speed switching in a range extender electric vehicle APU[J]. China Mechanical Engineering, 2015, 26(12): 1690-1696.
[10] Banarezaei S, Shalchian M. Design of a model-based fuzzy-PID controller with self-tuning scaling factor for idle speed control of automotive engine[J]. Iranian Journal of Science and Technology, Transactions of Electrical Engineering, 2019, 43(1): 13-31.
[11] Siva P V N, Bharath K V, Sampath D, et al.Implementation of Neural Network-based PID Controller for Speed Control of an IC Engine[M]. Berlin:Springer Nature, 2022.
[12] Howell M N, Best M C. Online PID tuning for engine idle-speed control using continuous action reinforcement learning automata[J]. Control Engineering Practice, 2000, 8(2): 147-154.
[13] Li X Q, Yurkovich S. Sliding mode control of delayed systems with application to engine idle speed control[J].IEEE Transactions on Control Systems Technology, 2001, 9(6): 802-810.
[14] Hu X S, Zhang X Q, Tang X L, et al.Model predictive control of hybrid electric vehicles for fuel economy, emission reductions, and inter-vehicle safety in car-following scenarios[J].Energy, 2020, 196: No. 117101.
[15] 熊文羽, 王树林, 叶杰, 等. 增程器用天然气发动机转速双闭环自适应控制[J]. 控制与决策, 2020, 35(7): 1623-1630.
Xiong Wen-yu, Wang Shu-lin, Ye Jie, et al. Natural gas engine speed double closed loop adaptive control for range extender[J]. Control and Decision, 2020, 35(7): 1623-1630.
[16] Norouzi A, Heidarifar H, Shahbakhti M, et al. Model predictive control of internal combustion engines:a review and future directions[J]. Energies, 2021, 14(19): No. 14196251.
[17] Wang H J, Leng J W. Summary on development of permanent magnet synchronous motor[C]∥2018 Chinese Control and Decision Conference (CCDC),Shenyang,China,2018:689-693.
[18] Hu M H, Jiang G C, Fu C Y, et al. Torque coordinated control in engine starting process for a single-motor hybrid electric vehicle[J]. Advances in Mechanical Engineering, 2017, 9(7): No. 1687814017705965.
[19] 白书杰, 魏长银, 陈勇, 等. 三缸发动机式增程器扭转振动模糊PID主动抑制[J]. 噪声与振动控制, 2022, 42(2): 51-58.
Bai Shu-jie, Wei Chang-yin, Chen Yong, et al.Three cylinder engine range extender torsional vibration fuzzy PID active suppression[J].Noise and Vibration Control, 2022, 42(2): 51-58.
[20] Xiong W Y, Ye J, Gong Q, et al. A range-extender engine speed control strategy with generator torque as an auxiliary input[J]. Control Engineering Practice, 2020, 103: No. 104596.
[21] Zhang X, Liu H, Zhan Z B, et al. Modelling and active damping of engine torque ripple in a power-split hybrid electric vehicle[J]. Control Engineering Practice, 2020, 104: No. 104634.
[22] Zhang J Y, Hu S, Ju L Y, et al.Active vibration control strategy for online application in a range extender[J].IEEE Access, 2023, 11: 26686-26702.
[23] Zhu G, Dessaint L A, Akhrif O, et al. Speed tracking control of a permanent-magnet synchronous motor with state and load torque observer[J]. IEEE Transactions on Industrial Electronics, 2000, 47(2): 346-355.
[24] Hmida A, Hammami A, Chaari F, et al. Effects of misfire on the dynamic behavior of gasoline engine crankshafts[J]. Engineering Failure Analysis, 2021, 121(1): No. 105149.
[25] Zhang S, Wang C, Zhang H, et al. Dynamic analysis and bursting oscillation control of fractional-order permanent magnet synchronous motor system[J].Chaos,Solitons & Fractals, 2022, 156: No. 111809.
[26] Hara S, Yamamoto Y, Omata T, et al.Repetitive control system:A new type servo system for periodic exogenous signals[J]. IEEE Transactions on Automatic Control, 1988, 33(7): 659-668.
[27] 田桂珍, 卢栋, 刘广忱, 等. 基于零相位低通滤波器的混合储能平抑直驱风电机组功率波动控制策略的研究[J]. 太阳能学报, 2021, 42(6): 72-78.
Tian Gui-zhen, Lu Dong, Liu Guang-chen, et al. Research on power fluctuation control strategy of hybrid energy storage based on zero-phase low-pass filter for direct drive wind turbines[J]. Acta Energiae Solaris Sinica, 2021, 42(6): 72-78.
[28] 刘圣华, 周龙保. 内燃机学[M]. 4版. 北京: 机械工业出版社,2017.
[1] Jun-wu ZHAO,Ting QU,Yun-feng HU. Trajectory planning for intelligent vehicles based on adaptive sampling [J]. Journal of Jilin University(Engineering and Technology Edition), 2025, 55(8): 2802-2816.
[2] Gui-shen YU,Xin CHEN,Yue TANG,Chun-hui ZHAO,Ai-jia NIU,Hui CHAI,Jing-xin NA. Effect of laser surface treatment on the shear strength of aluminum-aluminum bonding joints [J]. Journal of Jilin University(Engineering and Technology Edition), 2025, 55(8): 2555-2569.
[3] Mei-xia JIA,Jian-jun HU,Feng XIAO. Multi⁃physics simulation method of vehicle motor under varying working conditions based on multi⁃software combination [J]. Journal of Jilin University(Engineering and Technology Edition), 2025, 55(6): 1862-1872.
[4] Chun XIAO,Zi-chun YI,Bing-yin ZHOU,Shao-rui ZHANG. Fuzzy energy management strategy of fuel cell electric vehicle based on improved pigeon⁃inspired optimization [J]. Journal of Jilin University(Engineering and Technology Edition), 2025, 55(6): 1873-1882.
[5] Xue-wei SONG,Ze-ping YU,Yang XIAO,De-ping WANG,Quan YUAN,Xin-zhuo LI,Jia-wen ZHENG. Research progress on the performance changes of lithium⁃ion batteries after aging [J]. Journal of Jilin University(Engineering and Technology Edition), 2025, 55(6): 1817-1833.
[6] Wei-dong LI,Cao-yuan MA,Hao SHI,Heng CAO. An automatic driving decision control algorithm based on hierarchical reinforcement learning [J]. Journal of Jilin University(Engineering and Technology Edition), 2025, 55(5): 1798-1805.
[7] Dang LU,Yan-ru SUO,Yu-hang SUN,Hai-dong WU. Estimation of tire camber and sideslip combined mechanical characteristics based on dimensionless expression [J]. Journal of Jilin University(Engineering and Technology Edition), 2025, 55(5): 1516-1524.
[8] Zhen-hai GAO,Cheng-yuan ZHENG,Rui ZHAO. Review of active safety verification and validation for autonomous vehicles in real and virtual scenarios [J]. Journal of Jilin University(Engineering and Technology Edition), 2025, 55(4): 1142-1162.
[9] Tao ZHANG,Huang-da LIN,Zhong-jun YU. Real-time rolling optimization control method for gearshift of hybrid electric vehicles [J]. Journal of Jilin University(Engineering and Technology Edition), 2025, 55(4): 1215-1224.
[10] Dang LU,Xiao-fan WANG,Hai-dong WU. Analysis of uniform distribution characteristics of contact pressure of TWEEL tires [J]. Journal of Jilin University(Engineering and Technology Edition), 2025, 55(3): 811-819.
[11] Xun GONG,Hang REN,Hua-lin ZHANG,Jie-yu WANG,Yun-feng HU,Yao SUN. Ecoheating control method for connected electric automotive heat pump system in winter conditions [J]. Journal of Jilin University(Engineering and Technology Edition), 2025, 55(3): 820-828.
[12] Xin CHEN,Xiang-yuan ZHANG,Zi-tao WU,Gui-shen YU,Li-fei YANG. Effect of process sequence on tensile shear properties of PFSSW joints for automotive aluminum sheets [J]. Journal of Jilin University(Engineering and Technology Edition), 2025, 55(2): 468-475.
[13] Jun-long QU,Wen-ku SHI,Sheng-yi XUAN,Zhi-yong CHEN. Parameter design method of multiple dynamic vibration absorbers for suppressing multi-frequency resonance of automotive powertrain [J]. Journal of Jilin University(Engineering and Technology Edition), 2025, 55(2): 444-455.
[14] Jun-nian WANG,Yu-jing CAO,Zhi-ren LUO,Kai-xuan LI,Wen-bo ZHAO,Ying-yi MENG. Online detection algorithm of road water depth based on binocular vision [J]. Journal of Jilin University(Engineering and Technology Edition), 2025, 55(1): 175-184.
[15] Hong-yu HU,Zheng-guang ZHANG,You QU,Mu-yu CAI,Fei GAO,Zhen-hai GAO. Driver behavior recognition method based on dual-branch and deformable convolutional neural networks [J]. Journal of Jilin University(Engineering and Technology Edition), 2025, 55(1): 93-104.
Viewed
Full text


Abstract

Cited

  Shared   
  Discussed   
No Suggested Reading articles found!