Journal of Jilin University(Engineering and Technology Edition) ›› 2025, Vol. 55 ›› Issue (6): 1892-1905.doi: 10.13229/j.cnki.jdxbgxb.20231023

Previous Articles     Next Articles

Effect of parasitic load components with multi⁃directional motion on weight⁃sensing outputs

Gui-yong GUO1,2,3,4,5(),Jian-feng ZHONG1,2(),Qiu-kun ZHANG1,2,Bao-jie CAI3,4,5   

  1. 1.School of Mechanical Engineering and Automation,Fuzhou University,Fuzhou 350108,China
    2.Fujian Provincial Key Laboratory of Terahertz Functional Devices and Intelligent Sensing,Fuzhou University,Fuzhou 350108,China
    3.Division of Construction and Transportation,Fujian Institute of Metrology,Fuzhou 350003,China
    4.Fujian Key Laboratory of Force Measurement,Fuzhou 350100,China
    5.Key Laboratory of Force Measurement for State Market Regulation,Fuzhou 350100,China
  • Received:2023-09-25 Online:2025-06-01 Published:2025-07-23
  • Contact: Jian-feng ZHONG E-mail:13960922779@163.com;zhongjianfeng@fzu.edu.cn

Abstract:

For the parasitic load component generated by multi-component superposition effect has a great influence on the weight-sensing output, a variable parameter and multi-component output effect assessment method based on the overall structure was proposed. Subsequently, a mathematical theoretical model of the instantaneous characteristics of "strain-total weight-motion" was established and analyzed by finite element simulation. In addition, exploring the characteristics of the multi-directional motions with transverse, longitudinal and rotating around an axis that are commonly seen in the weighing process, which include parasitic effects such as changing the total weight, rotating speed and angular acceleration, etc. Eventually, the reasonableness of the theoretical model and simulation analysis was verified through experimental tests. The results showed that the parasitic load component of transverse motion had the smallest influence on the output, and the maximum deviation was no more than 0.001%FS ( Full Scale); followed by longitudinal motion, and the maximum deviation was no more than 0.015%FS; and the parasitic load component of themotion of rotating around an axis had the largest influence on the output, and the maximum deviation can be up to 0.5%FS, and it was changed with the differences of the total weight and the rotating speed, which provided a technical support and accuracy compensation technology for dynamic weighing application of the weight-sensing structure. This law provides the technical support of accuracy compensation and scientific evaluation basis for the dynamic weighing application of weight-sensing structure.

Key words: measurement technology and instrument, load cell, weight-sensing structure, multi-directional motion, rotation, strain, load

CLC Number: 

  • TH715

Fig.1

Working principle diagram of weighing sensor structure movement"

Fig.2

Model of the weight-sensing structure (including some connecting parts)"

Table 1

Boundary dimension parameters of weight-sensing structure and part of connector body"

参数符号数值/mm
称重传感结构弹性体总长度L1176
T形垫块中心线与弹性体右端面距离L29
窄槽底部圆角中心长度L3110
贴片区域长度L466.2
空心槽圆角中心长度(即两个应变截面距离)L525
贴片区空心槽宽度L630
左应变片贴片与弹性体左端面距离L775.5
Y向第一个连接件主体长度L8143
弹性体总高度H1125
窄槽底部圆角中心宽度H275
空心槽圆角中心宽度H381.7
弹性体总宽度B80
Y向第一个连接件主体宽度B169
Y向第一个连接件主体厚度B224
贴片区空心槽圆角半径R7.5
窄槽底部圆角半径r4

Fig.3

Schematic diagram for analysing the load carrying capacity of a weight-sensing structure with multi-directional motion (rotation around an axis)"

Fig.4

Finite element model of weighing sensor structure and strain distribution position of patch area"

Fig.5

Wheatstone bridge"

Fig.6

Micro-strain distribution pattern at strain gage patches of weight-sensing structure"

Fig.7

Experimental photographs of multi-directional movements of the weight-sensing structure"

Fig.8

Experimental verification results of lateral/longitudinal motion of weighing sensor structure"

Fig.9

Experimental photographs of the weight- sensing structure with rotation around an axis"

Fig.10

Experimental plots of output effects of symmetrical weight sensing structures at different azimuths"

Fig.11

Experimental validation results of weight-sensing structures with rotation around an axis (connected parts in different directions)"

Fig.12

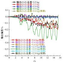
Comparison of the output deviation of different weight-sensing structures with rotation around an axis ( the output deviation of Y-X, and Z-X)"

Fig.13

Output effect of symmetrical re sensing structure at different rotational speeds when rotating around an axis"

Fig.14

Experimental verification curve of the output effect of different angular accelerations on the symmetric weight sensing structure when rotating around the axis (using double row connecting components as an example)"

Table 2

Design and results of acceleration phase response surface test"

试验号

a转速/

(r·min-1

b角加速度/

(r·min-2

c总重/kg

S/

(mV·V-1

1203009.40.007 41
2202405.90.003 73
3603009.40.007 43
4401805.90.003 81
5402409.40.007 46
64018012.90.011 16
74030012.90.010 87
8402409.40.007 46
9402409.40.007 46
10403005.90.003 9
11601809.40.007 51
122024012.90.010 74
13201809.40.007 51
14602405.90.003 98
15402409.40.007 46
16402409.40.007 46
176024012.90.010 90

Table 3

Response surface test analysis"

方差来源平方和自由度均方FP显著性
S/N=171.22R2adj=0.999 5R2=0.999 8
模型9.99E-0591.11E-052 040<0.000 1***
a2.31E-0812.31E-084.20.078 2*
b1.81E-0811.81E-083.30.111 3*
c9.98E-0519.98E-0518 340<0.000 1***
ab1.00E-1011.00E-100.0180.896*
ac2.03E-0912.03E-090.370.561*
bc3.61E-0813.61E-086.640.036 7**
a29.01E-0919.01E-091.660.239 1*
b21.11E-0811.11E-082.030.196 9*
c22.45E-0812.45E-084.50.071 6**
残差3.81E-0875.44E-09
失拟3.81E-0831.27E-08
误差040
总和9.99E-0516

Fig.15

Response surface diagram and contour of output peak at acceleration stage under interaction of speed, angular acceleration and total weight"

Fig.16

Response surface diagram of output peak at constant speed stage under the interaction of speed, angular acceleration and total weight"

[1] 朱建梅, 黄松和. 平行梁式称重传感器的动态仿真分析[J]. 机械, 2014, 41(11): 31-35, 76.
Zhu Jian-mei, Huang Song-he. Dynamic simulation analysis of parallel girder load sensor[J]. Machinery, 2014, 41(11): 31-35, 76.
[2] 张业兵. 运动速度对动态称重的影响[J]. 山东理工大学学报: 自然科学版, 2007, 21(2): 41-44, 47.
Zhang Ye-bin. The influence of vehicle speed on weigh-in-motion[J]. Journal of Shandong University of Technology (Natural Science Edition), 2007, 21(2): 41-44, 47.
[3] 尹继武, 龙姝明. 应变片倾斜角度对称重传感器偏载误差的影响[J]. 陕西理工学院学报: 自然科学版, 2014, 30(2): 19-23.
Yin Ji-wu, Long Shu-ming. Influence of strain gauge tilt angle on eccentric error of load sensor[J].Journal of Shaanxi University of Technology (Natural Science Edition), 2014, 30(2): 19-23.
[4] 郁有文, 常健, 程继红. 传感器原理及工程应用[M]. 4版. 西安: 西安电子科技大学出版社, 2014.
[5] 赵思宏, 田春艳, 范惠林. 平行梁式称重传感器的有限元分析[J]. 光学精密工程, 2002, 10(2): 209-213.
Zhao Si-hong, Tian Chun-yan, Fan Hui-lin. Finite element analysis of the parallel girder load sensor [J]. Optics and Precision Engineering, 2002, 10(2): 209-213.
[6] 何兆湘, 黄兆祥, 王楠. 传感器原理与检测技术[M]. 武汉: 华中科技大学出版社, 2019.
[7] 郑韬, 俞宁峰, 连昌伟. 应变计式力传感器对高速拉伸载荷振荡的改善[J]. 锻压技术, 2019, 44(8): 124-128, 136.
Zheng Tao, Yu Ning-feng, Lian Chang-wei. Improvement of load oscillation in high-speed tension by strain gauge force sensor[J]. Forging & Stamping Technology, 2019, 44(8): 124-128, 136.
[8] Mocanu S, Panaitescu R, Tonciu O, et al. Influence of the parallel beam load cell installation on the strain/stress field reading error[J].Romanian Journal of Transport Infrastructure, 2023, 12(1): 1-13.
[9] 干方建, 刘正士, 孔凡让, 等. 传感器微分运动引起的机器人运动误差及其在线补偿[J]. 中国机械工程, 2005(23): 2069-2071.
Gan Fang-jian, Liu Zheng-shi, Kong Fan-rang, et al. On-line compensation of robot motion errors based on multi-axis force sensor's deformation[J]. China Mechanical Engineering, 2005(23): 2069-2071.
[10] 陈浩文, 李坚, 王兵, 等 . 机器人交互作业中六维力传感器重力补偿研究[J]. 组合机床与自动化加工技术, 2021(10): 47-51.
Chen Hao-wen, Li Jian, Wang Bing, et al. Research on gravity compensation of six-axis force sensor in robot interactive operation[J]. Modular Machine Tool & Automatic Manufacturing Technique, 2021(10):47-51.
[11] Li J, Guan Y, Chen H, et al. A high-bandwidth end-effector with active force control for robotic pol‐ishing[J]. IEEE Access, 2020, 8: 169122-169135.
[12] Taeyong K, Marco V A, Jaehong S, et al. Development of a differential load cell negating inertial force[J]. Measurement, 2023, 223: No.113789.
[13] 马涛, 马源, 黄晓明 . 基于多元非线性回归的智能压实关键参数最优解[J]. 吉林大学学报: 工学版,2023, 53(7): 2067-2077.
Ma Tao, Ma Yuan, Huang Xiao-ming. Optimal combination of key parameters of intelligent compaction based on multiple nonlinear regression[J]. Journal of Jilin University (Engineering and Technology Edition), 2023, 53(7): 2067-2077.
[1] Yi TANG,Bing-chuan LU,Hong-chen YI,Cheng YU,Bin NAN. Multi spectral image fusion algorithm for unmanned aerial vehicles based on gradient consistency constraint [J]. Journal of Jilin University(Engineering and Technology Edition), 2025, 55(6): 2076-2081.
[2] Yong ZHAO,Wen-ming JIN,Qi-feng ZHENG,Shu-qing KOU. Influence of cracking groove depth on cracking performance of bearing seat of reducer housing [J]. Journal of Jilin University(Engineering and Technology Edition), 2025, 55(5): 1552-1558.
[3] An-shun ZHANG,Wei FU,Jun-hui ZHANG,Feng GAO. Shear properties and stress-strain relationships characterization of Changsha compacted clay [J]. Journal of Jilin University(Engineering and Technology Edition), 2025, 55(5): 1604-1616.
[4] Ling LI,Hui-tao TIAN,Dong-hao MIAO,Miao-xia XIE,Fu-an CHENG. Analysis of relaxation characteristics of multi-bolted connections under the transverse cyclic load [J]. Journal of Jilin University(Engineering and Technology Edition), 2025, 55(5): 1525-1535.
[5] Ming-feng SU,Guo-jun WANG,Cong ZHOU,Tian WANG. A heuristic task offloading approach with delay and energy constraints for edge-cloud collaboration [J]. Journal of Jilin University(Engineering and Technology Edition), 2025, 55(5): 1648-1663.
[6] Xin-chen YE,Hai-long ZHANG,Jie WANG,Da-lei LI,Meng ZHANG,Ya-zhou ZHANG,Xu DU,Jia LI,Wan-qiong WANG. EMD-LSTM-based group prediction algorithm of container resource load in preprocessing molecular spectral line data [J]. Journal of Jilin University(Engineering and Technology Edition), 2025, 55(4): 1374-1383.
[7] Yong-jun ZHOU,Feng-rui MU,Cheng CAI,Fan YANG. Influence factors of preload loss in cable clamp bolt of suspension bridge based on orthogonal experiment method [J]. Journal of Jilin University(Engineering and Technology Edition), 2025, 55(4): 1188-1196.
[8] Yun-feng HU,Jia-min LI,Zhi-guo TANG. Solving method on inverse kinematics of mobile loading missile manipulator by multi-population grey wolf optimization algorithm [J]. Journal of Jilin University(Engineering and Technology Edition), 2025, 55(4): 1443-1452.
[9] Jian-huang YAN,Zhi-yong WANG,En-hong TANG,Xue HAN,Hai-feng LI,Zi-qin JIANG. Mechanical properties of austenitic stainless steels under monotonic and cyclic loading [J]. Journal of Jilin University(Engineering and Technology Edition), 2025, 55(3): 912-924.
[10] Dang LU,Xiao-fan WANG,Hai-dong WU. Analysis of uniform distribution characteristics of contact pressure of TWEEL tires [J]. Journal of Jilin University(Engineering and Technology Edition), 2025, 55(3): 811-819.
[11] Liang-liang ZHANG,Hua CHENG,Xiao-jian WANG. Energy evolution law and failure criterion of high strength concrete under conventional triaxial compression [J]. Journal of Jilin University(Engineering and Technology Edition), 2025, 55(3): 974-985.
[12] Xin CHEN,Xiang-yuan ZHANG,Zi-tao WU,Gui-shen YU,Li-fei YANG. Effect of process sequence on tensile shear properties of PFSSW joints for automotive aluminum sheets [J]. Journal of Jilin University(Engineering and Technology Edition), 2025, 55(2): 468-475.
[13] Guo-wei FAN,Yu GAO,Quan-zhi LIU,Yang XIAO,Xue-ying LYU,Le ZHANG,Liu ZHANG. Attitude maneuvering planning method of remote sensing satellite based on improved adaptive pseudo-spectrum method [J]. Journal of Jilin University(Engineering and Technology Edition), 2025, 55(1): 355-365.
[14] Han-ying HUANG,Peng-fei LI. Method and experiments on edge computing resource allocation in smart fishery [J]. Journal of Jilin University(Engineering and Technology Edition), 2025, 55(1): 316-324.
[15] Yu-xin XUE,Yong-jun ZHOU,Ye-lu WANG,Kai-xiang FAN,Yu ZHAO. Application of dynamic load allowance test method of simply supported girder bridge based on suspension hammer system [J]. Journal of Jilin University(Engineering and Technology Edition), 2024, 54(9): 2557-2567.
Viewed
Full text


Abstract

Cited

  Shared   
  Discussed   
[1] Yao Zhi-sheng, Shao Chun-fu, Xiong Zhi-hua, Yue Hao . Short-term traffic volumes forecasting of road network based on principal component analysis and support vector machine[J]. 吉林大学学报(工学版), 2008, 38(01): 48 -52 .
[2] YAN Kangkang, GUO Wei, HU Ping. Springback Prediction and Control,Compensation Technique in Sheet Metal Forming Based on Stamping CAE Software KMAS[J]. 吉林大学学报(工学版), 2005, 35(04): 409 -414 .
[3] . [J]. 吉林大学学报(工学版), 2007, 37(06): 1268 -1272 .
[4] HE Lei,ZONG Chang-fu,TIAN Cheng-wei,WU Ren-jun,Zhang Tai-wu. DC motor fault diagnosis and fault tolerance control method for steer-by-wire car[J]. 吉林大学学报(工学版), 2011, 41(03): 608 -612 .
[5] ZHANG Jun-yuan, CHEN Guang, LIU Le-dan, LI Hong-jian, TANG Hong-bin. Design and target decomposition of impact pulse of car frontal crashworthiness[J]. , 2012, 42(04): 823 -827 .
[6] WANG Wen-quan, SHANG Yan-geng, LI Xiu-juan, WANG Chun-sheng, ZHANG Gui-lan. Microstructure and property of laser welded 650 MPa transformation induced plasticity steel sheet[J]. , 2012, 42(05): 1203 -1207 .
[7] LIU Shu-cheng, WEI Wei, YAN Qing-dong, ZHOU Qia. Simulation method of idling characteristic of hydrodynamic torque converter stator wheel[J]. 吉林大学学报(工学版), 2013, 43(01): 22 -27 .
[8] FU Yan-an, MAX Q.-H. MENG, ZHANG Wei. Detection of bleeding image in wireless capsule endoscope based on superpixel segmentation[J]. 吉林大学学报(工学版), 2013, 43(02): 510 -514 .
[9] . [J]. 吉林大学学报(工学版), 2007, 37(06): 1386 -1391 .
[10] WANG Xiao-yan,LIU Shu-fen,YU Hai . Interface automata based approach to Web service composition[J]. 吉林大学学报(工学版), 2009, 39(03): 743 -0748 .