吉林大学学报(工学版) ›› 2025, Vol. 55 ›› Issue (10): 3228-3241.doi: 10.13229/j.cnki.jdxbgxb.20240876

• 交通运输工程·土木工程 • 上一篇    

季冻区沥青路面灌缝胶工作性能试验

王伟1,2(),何荣森1,陈志国2,石家乐1,徐亮1(),孙彦楠2   

  1. 1.长春工程学院 土木工程学院,长春 130012
    2.吉林省交通科学研究所,长春 130012
  • 收稿日期:2024-08-06 出版日期:2025-10-01 发布日期:2026-02-03
  • 通讯作者: 徐亮 E-mail:16695496@qq.com;123333369@qq.com
  • 作者简介:王伟(1982-),男,副教授,博士.研究方向:寒区沥青路面灌缝材料.E-mail:16695496@qq.com
  • 基金资助:
    吉林省交通运输创新发展支撑项目(2022-1-1)

Experiment on performance of asphalt pavement grouting adhesive in seasonal frozen zone

Wei WANG1,2(),Rong-sen HE1,Zhi-guo CHEN2,Jia-le SHI1,Liang XU1(),Yan-nan SUN2   

  1. 1.School of Civil Engineering,Changchun Institute of Technology,Changchun 130012,China
    2.Jilin Provincial Transport Scientific Research Institute,Changchun 130012,China
  • Received:2024-08-06 Online:2025-10-01 Published:2026-02-03
  • Contact: Liang XU E-mail:16695496@qq.com;123333369@qq.com

摘要:

在现行灌缝胶评价指标基础上,通过短期和长期老化试验,提出增设锥入度比、压缩弹性恢复率、低温拉伸等评价指标,并采用熵权-TOPSIS组合方法,构建了适用于季冻区沥青路面灌缝胶工作性能的指标评价模型。试验结果表明:短期老化后锥入度比和压缩弹性恢复率控制标准分别为90%、30%,长期老化后的锥入度比和压缩弹性恢复率控制标准分别为50%和20%;灌缝胶黏度的评价标准为190 ℃时的1~3 Pa·s,灌入深度评价标准为5 cm,浸水后灌缝胶的低温拉伸应力评价标准为0.06 MPa(-30 ℃)和0.03 MPa(-20 ℃),而冻融循环后的灌缝胶黏附力评价标准为0.03 MPa(-30 ℃)和0.025 MPa(-20 ℃);采用熵权-TOPSIS法不仅可以判断样本合格与否,还可以根据各个指标的评价结果全面综合地判断样本的优劣。本文研究有助于提高灌缝材料应用效果和耐久性评价水平,为寒区灌缝胶性能评价及规范修订提供补充与参考数据。

关键词: 季冻区, 沥青路面, 灌缝材料, 熵权-TOPSIS, 评价指标

Abstract:

This study builds on existing evaluation criteria by introducing additional indicators, including cone penetration ratio, compression elastic recovery rate, and low-temperature tensile strength, which are assessed through short-term and long-term aging tests. An evaluation model tailored to the performance of sealants in seasonally frozen asphalt pavements is developed using the entropy weight-TOPSIS method. The experimental results indicate the following: After short-term aging, the control standards for cone penetration ratio and compression elastic recovery rate are 90% and 30%, respectively, whereas after long-term aging, these standards decrease to 50% and 20%. The evaluation criteria for sealant viscosity are 1-3 Pa·s at 190 °C, with a grouting depth of 5 cm. The low-temperature tensile stress evaluation criteria for sealants after immersion are 0.06 MPa at -30 °C and 0.03 MPa at -20 °C, while the adhesion strength after freeze-thaw cycles is 0.03 MPa at -30 °C and 0.025 MPa at -20 °C. The entropy weight-TOPSIS method not only determines whether the sample meets qualification standards but also provides a comprehensive assessment of its quality across multiple indicators. These findings contribute to improving the application efficiency and durability evaluation of sealant materials, offering supplementary data for performance assessment and specification updates in cold regions.

Key words: seasonal freezing zone, asphalt pavement, grouting material, entropy weight TOPSIS, evaluating indicator

中图分类号: 

  • U414

表1

加热型灌缝胶基本参数"

样本编号样本A样本B样本C样本D样本E样本F样本G样本H
成分改性沥青
修补方式加热
适用温度/℃-30-30-30-30-20-20-20-20
锥入度/0.1 mm110.0~120.0115.0~120.0120.0~125.0115.0~125.085.0~95.075.0~85.090.0~95.080.0~90.0
软化点/℃86~9080~8885~9590~9587~9285~9092~9888~94
压缩弹性恢复率/%45~5040~4535~4045~5030~3530~4045~5035~40
流动性/mm1.5~2001~1.50000~0.5
适用规范JT/T740-2015

图1

基础试验项目"

图2

灌缝胶深度测试流程"

图3

灌缝胶样本试验"

表2 -3

0 ℃样本性能测试结果"

样本JT/T 740要求
ABCD
锥入度/0.1 mm115.6138.9120.7135.290~150
软化点/℃84.487.882.580.7≥80
流动度/mm0.10.51.12.0≤5
弹性恢复率/%49.742.254.157.530~70
-30 ℃,150%,3次循环满足满足满足满足满足

表3 -20

℃样本性能测试结果"

样本JT/T 740要求
EFGH
锥入度/0.1 mm99.6102.288.084.270~110
软化点/℃87.681.892.386.2≥80
流动度/mm1.20.00.10.5≤5
弹性恢复率/%32.533.94735.430~70
-20 ℃,100%,3次循环满足满足满足满足满足

图4

试验样本锥入度老化过程及对比分析"

图5

试验样本软化点老化前后对比图"

图6

老化前后灌缝胶压缩弹性恢复率对比图"

表4

灌缝胶试验样本锥入度比、软化点差值和压缩弹性恢复率比"

评价指数样本A样本B样本C样本D样本E样本F样本G样本H
短期老化后的锥入度比/%87.479.294.210010089.698.898.8
长期老化后的锥入度比/%69.754..152.046.746.155.685.174.9
老化后软化点差值/℃-3.1-6.41.5002.2-9.10
短期老化后的压缩弹性恢复率/%37.735.230.543.330.430.330.231.6
长期老化后的压缩弹性恢复率/%69.2093.910051.0190.599.746.076

表5

各样本老化前后的流动度"

样本
ABCDEFGH
老化前流动度/mm0.10.51.11.11.2001.1
老化后流动度/mm000.500.9000

表6

低温拉伸最大拉力"

样本A样本B样本C样本D样本E样本F样本G样本H
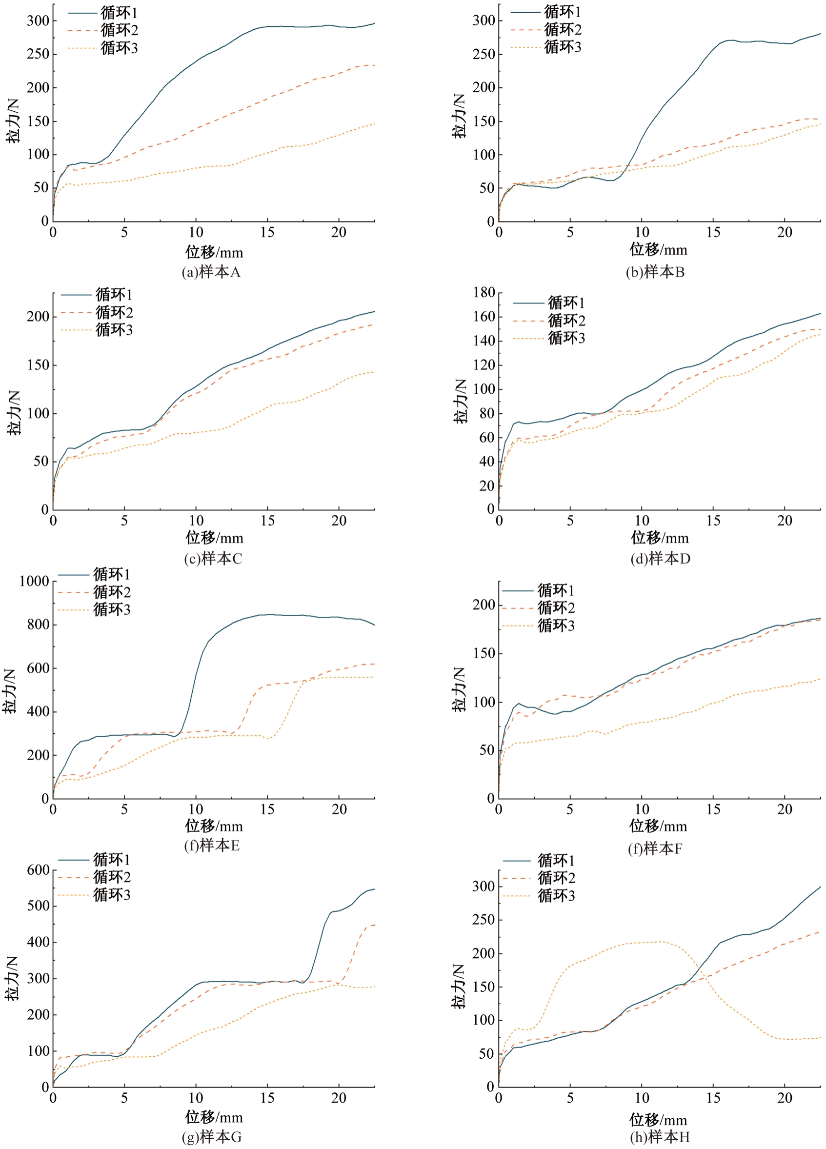
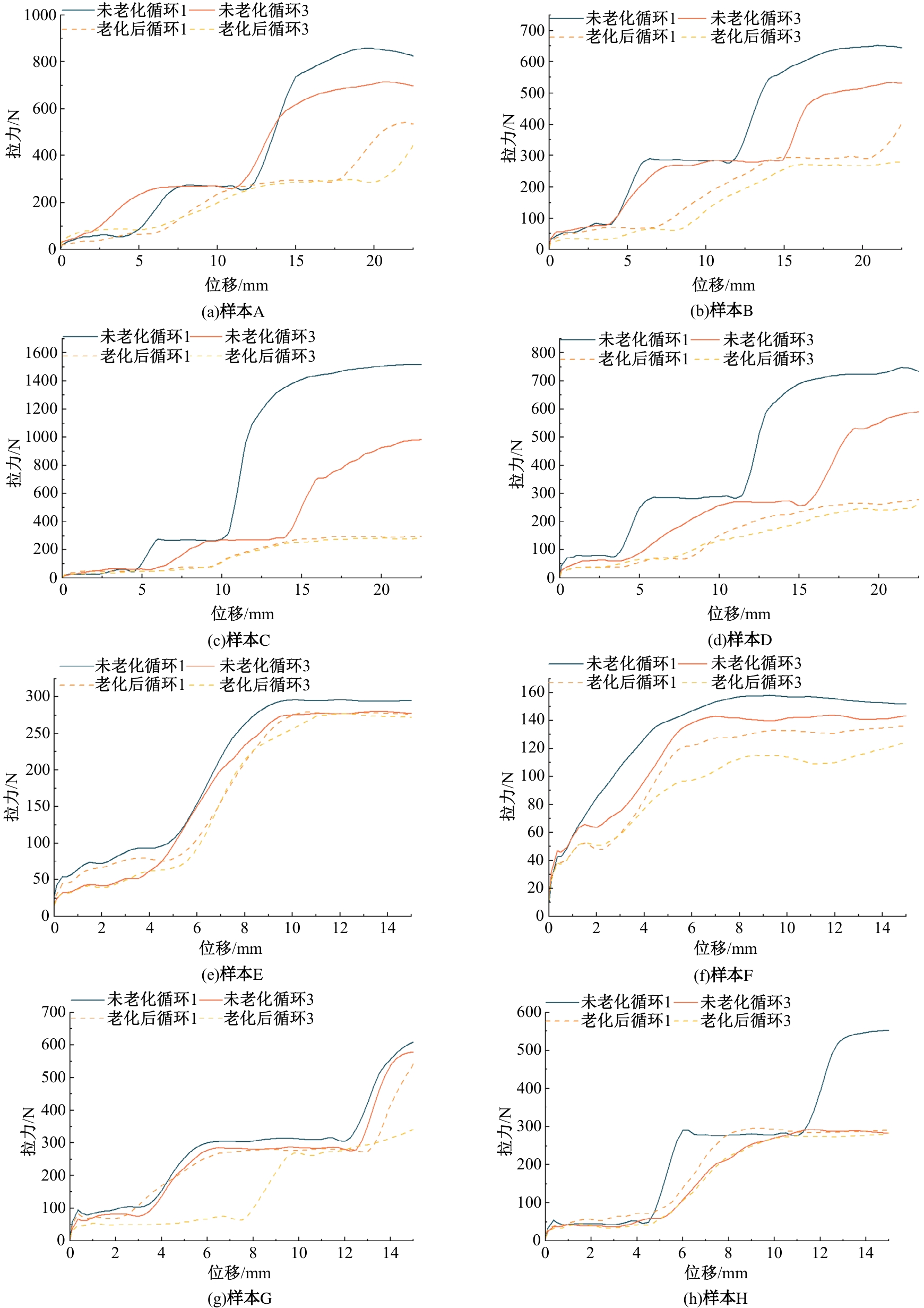
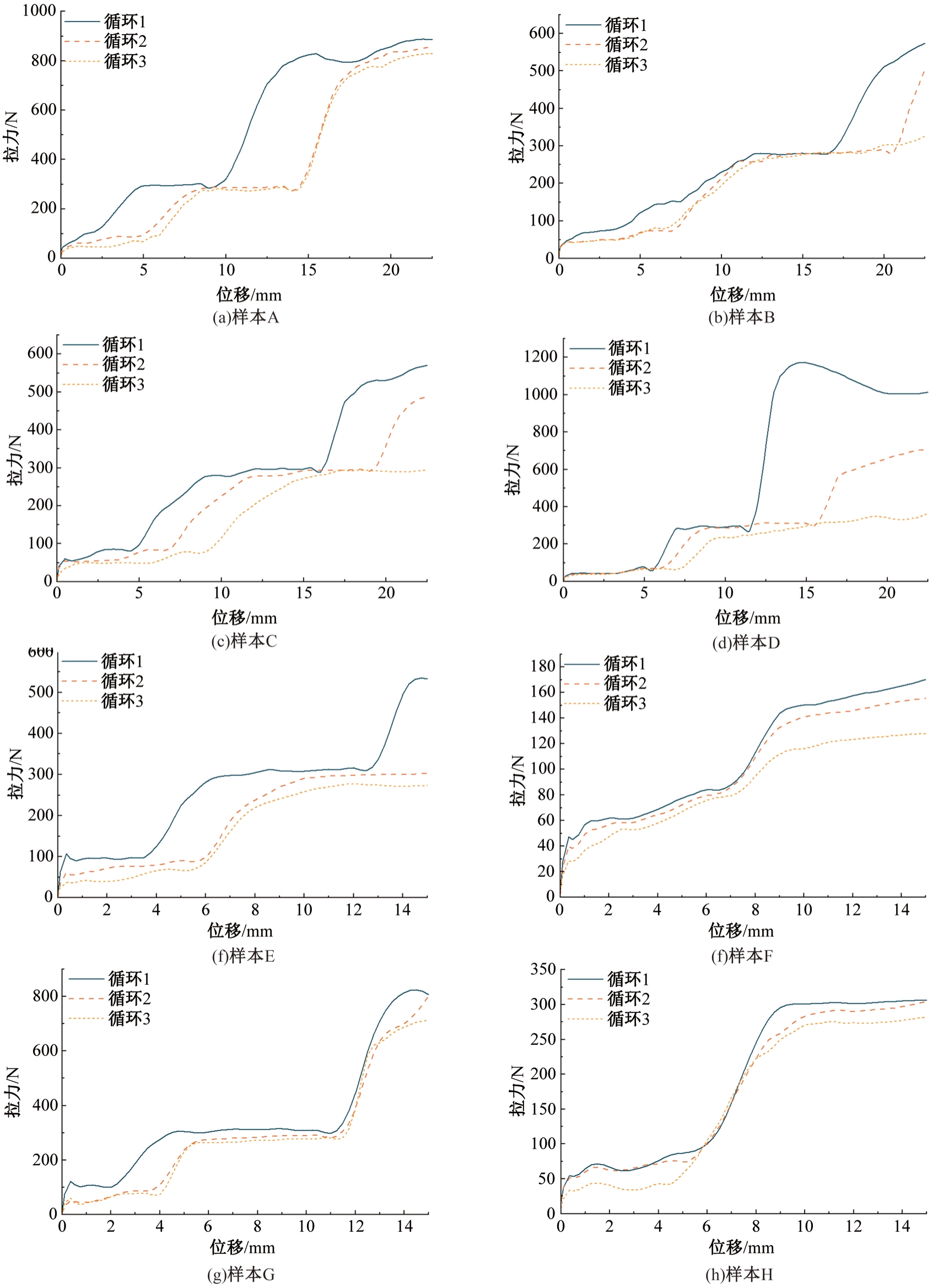
老化前第1次循环最大拉力/N8686621533759305163617560
老化前第3次循环最大拉力/N7285531006606292149540301
老化后第1次循环最大拉力/N559414305499297144574307
老化后第3次循环最大拉力/N447282295275284129350287

图7

各灌缝胶样本低温拉伸力与位移的关系曲线"

图8

灌缝胶样本黏温曲线"

图9

各灌缝胶样本灌入深度"

表7

灌缝胶浸水后最大拉力 (N)"

样本
ABCDEFGH
第1次循环9105725901181564175853324
第2次循环860505487708303155802304
第3次循环853325305375285128720297

图10

浸水拉伸后灌缝胶拉力与位移的关系曲线"

表8

冻融循环最大拉力"

样本
ABCDEFGH
第1次循环/N299282213167861193551309
第2次循环/N246157206151629190452239
第3次循环/N148145144148569128284221

图11

冻融循环作用下各灌缝胶拉力与位移的关系曲线"

图12

样本H破坏图片"

表9

指标权重计算结果"

指标项信息熵值e信息效用值d权重/%
短期老化后的压缩弹性恢复率/%0.6010.39919.295
低温拉伸拉应力/N0.9160.0844.084
长期老化锥入度比/%0.7730.22710.986
冻融循环拉应力/N0.6030.39719.238
压缩弹性恢复率比/%0.8710.1296.223
短期老化锥入度比/%0.9130.0874.219
灌入深度/mm0.770.2311.131
长期老化后压缩弹性恢复率/%0.7750.22510.889
软化点差值/℃0.8830.1175.652
190 ℃黏度/(Pa·s)0.8290.1718.284

表10

中间值"

指标项正理想解负理想解
短期老化后的压缩弹性恢复率/%10
低温拉伸拉应力/N10
长期老化锥入度比/%10
冻融循环拉应力/N10
压缩弹性恢复率之比/%10
短期老化锥入度比/%10
灌入深度/mm10
长期老化后的压缩弹性恢复率/%10
软化点差值/℃10
190 ℃黏度/(Pa·s)10
短期老化后的压缩弹性恢复率/%10
低温拉伸拉应力/N10
长期老化锥入度比/%10
冻融循环拉应力/N10

表11

评价结果对比"

样本正理想解距离(D+)负理想解距离(D-)综合得分指数排序原有评价排序
A0.671 152 250.477 917 180.415 916 603合格
B0.744 394 000.483 968 600.393 994 906合格
C0.751 896 150.517 854 540.407 839 545合格
D0.734 016 090.537 363 940.422 661 932合格
E0.514 680 200.634 990 570.493 595 811合格
F0.820 061 620.393 166 360.324 066 358合格
G0.750 362 860.529 487 340.413 710 404合格
H0.720 010 990.417 206 260.366 865 927合格
[1] 许正森, 雷相达, 管海燕. 多尺度局部特征增强Transformer道路裂缝检测模型[J]. 中国图象图形学报, 2023, 28(4): 1019-1028.
Xu Zheng-sen, Lei Xiang-da, Guan Hai-yan. Multi-scale local feature enhanced transformer network for pavement crack detection[J]. Journal of Image and Graphics, 2023, 28(4):1019-1028.
[2] 陈嘉锐, 崔得龙, 邱泽环, 等. 基于YOLOv5s模型的新型道路裂缝检测系统[J]. 现代电子技术, 2023, 46(13): 62-66.
Chen Jia-rui, Cui De-long, Qiu Ze-huan, et al. A new road crack detection system based on YOLOv5s model[J]. Modern Electronics Technique, 2023, 46(13): 62-66.
[3] 逄蕴泽. SBS/CNTs改性沥青灌缝胶的制备及性能研究[D]. 长春: 吉林大学交通学院, 2023.
Pang Yun-ze. Investigation on the preparation and properties of SBS/CNTs modified asphalt sealant[D]. Changchun: College of Transportation, Jilin University, 2023.
[4] 李艳博. 适用于甘肃省典型气候环境的沥青路面灌缝胶研制与应用[D]. 兰州: 兰州交通大学土木工程学院, 2017.
Li Yan-bo. Preparation and application of asphalt pavement´s sealants and fillers for the typical climate of gansu province[D]. Lanzhou: School of Civil Engineering, Lanzhou Jiaotong University, 2017.
[5] 覃金顺, 王振军, 孙宁, 等. 橡胶粉对沥青灌缝胶高温稳定性提升与机理[J]. 公路, 2023, 68(8): 332-340.
Qin Jin-shun, Wang Zhen-jun, Sun Ning, et al. Improvements and mechanism of crumb rubber on high temperature stability performance of asphalt sealant[J]. Highway, 2023, 68(8): 332-340.
[6] 1:2004.
Hot applied joint sealants [S].
[7] . 路面加热型密封胶 [S].
[8] Soliman H, Shalaby A, Kavanagh L. Performance evaluation of joint and crack sealants in cold climates using DSR and BBR tests[J]. Journal of Materials in Civil Engineering, 2008, 20(7): 470-477.
[9] Al-Qadi I L, Yang W, Fini E, et al. Towards performance-based selection guidelines for roadway crack sealants[C]∥International ISAP Symposium on Asphalt Pavements Environment, Zurich, Switzerland, 2008:161-172.
[10] 薛恒潇. 灌缝胶拉伸设备改进及低温性能评价研究[D].哈尔滨: 哈尔滨工业大学交通科学与工程学院, 2013.
Xue Heng-xiao. Research on crack sealant stretching tester improvement and performance evaluation in low temperature[D]. Harbin: School of Transportation Science and Engineering, Harbin Institute of Technology, 2014.
[11] 董岩岩. 基于弱边界层理论的灌缝胶失效机理研究[D]. 哈尔滨: 哈尔滨工业大学交通科学与工程学院, 2017.
Dong Yan-yan. The failure mechanism of crack sealant based on the weak boundary layer theory[D]. Harbin: School of Transportation Science and Engineering, Harbin Institute of Technology, 2017.
[12] 刘忠骥. 灌缝胶失效判别方法及自愈性研究[D]. 哈尔滨:哈尔滨工业大学交通科学与工程学院, 2017.
Liu Zhong-ji. The failure evaluation and self-healing investigation of crack sealant[D]. Harbin: School of Transportation Science and Engineering, Harbin Institute of Technology, 2017.
[13] Poulikakos L D, Falchetto A C, Wang D, et al. Impact of asphalt aging temperature on chemo-mechanics[J]. RSC Advances, 2019, 9(21): 11602-11613.
[14] Wang S Q, Jia Y S, Li Z R, et al. Evaluating the effect of aging on adhesion for hot-poured road sealants through a modified adhesion test[J]. Construction and Building Materials, 2022, 347: No. 128576.
[15] Masson J F, Collins P, Bundalo-Perc S, et al. Early thermodegradation of bituminous sealants resulting from improper installation: field study[J]. Transportation Research Record: Journal of the Transportation Research Board, 2007, 1991(1): 119-123.
[16] Masson J F, Woods J R, Collins P, et al. Accelerated aging of bituminous sealants: small kettle aging[J]. International Journal of Pavement Engineering, 2008, 9(5): 365-371.
[17] Masson J F, Lacasse M A. Effect of hot-air lance on crack sealant adhesion[J]. Journal of Transportation Engineering, 1999, 125(4): 357-363.
[18] . Standard test methods for sealants and fillers, hot-applied, for joints and cracks in asphalt pavements and portland cement concrete pavements [S].
[19] Wang S Q, Gao Y, Jia Y S, et al. Development of a modified bond test for hot applied crack sealants by using hot-cold cycles[J]. Road Materials and Pavement Design, 2023, 24(8): 1-21.
[20] Wang S Q, Li Y S, Wei Z Y, et al. Effects of periodically changing temperatures on the bond interface between crack sealant and repaired pavement[J]. Journal of Transportation Engineering, Part B: Pavements, 2024, 150(1): No. 04024003.
[21] Al-Qadi I L, Masson J F, Yang S H, et al. Development of performance-based guidelines for selection of bituminous-based hot-poured pavement crack sealant:an executive summary repor[R]. Virginia:Virginia Transportation Research Council,2009.
[22] .Standard test method for effect of heat and air on a moving film of asphalt binder [S].
[1] 李伟,李萍,王晖,张留博,念腾飞,张强,李宁. 自修复微胶囊在沥青路面智能养护中的应用进展[J]. 吉林大学学报(工学版), 2025, 55(11): 3446-3462.
[2] 蔡正森,伍宇,许新权,范剑伟,马涛,郑鸿柔. 多孔沥青路面路用性能跟踪检测[J]. 吉林大学学报(工学版), 2024, 54(10): 2941-2951.
[3] 宫亚峰,吴树正,毕海鹏,谭国金. 基于现场监测技术的装配式箱涵温度场及冻胀分析[J]. 吉林大学学报(工学版), 2023, 53(8): 2321-2331.
[4] 李岩,张久鹏,陈子璇,黄果敬,王培. 基于PCA-PSO-SVM的沥青路面使用性能评价[J]. 吉林大学学报(工学版), 2023, 53(6): 1729-1735.
[5] 阙云,季雪,蒋子平,戴伊,王叶飞,陈嘉. GAN数据增强下路面裂缝语义分割算法[J]. 吉林大学学报(工学版), 2023, 53(11): 3166-3175.
[6] 陈栩,曹超飞,尚静,黄明星,艾长发,任东亚. 动静水环境作用下级配离析对沥青混合料水损害的影响评价[J]. 吉林大学学报(工学版), 2023, 53(1): 210-219.
[7] 廖汉超,单汨源. 基于模糊聚类最大树算法的高层建筑基坑工程风险识别方法[J]. 吉林大学学报(工学版), 2022, 52(12): 2892-2897.
[8] 于晓贺,罗蓉,柳子尧,黄婷婷,束裕. 沥青路面典型裂缝湿度场数值模拟[J]. 吉林大学学报(工学版), 2022, 52(10): 2343-2351.
[9] 薛锋,何传磊,黄倩,罗建. 多式轨道交通网络的耦合协调度[J]. 吉林大学学报(工学版), 2021, 51(6): 2040-2050.
[10] 董伟智,张爽,朱福. 基于可拓层次分析法的沥青混合料路用性能评价[J]. 吉林大学学报(工学版), 2021, 51(6): 2137-2143.
[11] 毛昱,李萍,念腾飞,林梅,魏西应. 基于分形理论的沥青路面层间机械摩阻强度行为[J]. 吉林大学学报(工学版), 2020, 50(2): 594-605.
[12] 李伊,刘黎萍,孙立军. 沥青面层不同深度车辙等效温度预估模型[J]. 吉林大学学报(工学版), 2018, 48(6): 1703-1711.
[13] 孟繁宇, 潘晓东. 基于神经网络-遗传算法的功能性沥青路面材料优选[J]. 吉林大学学报(工学版), 2013, 43(增刊1): 535-538.
[14] 吉淑娇, 朱明, 胡汉平, 邢笑雪. 基于特征匹配的视频稳像算法[J]. 吉林大学学报(工学版), 2013, 43(增刊1): 322-325.
[15] 谭忆秋, 赵立东, 岳军声, 蓝天云. 沥青路面凝冰损坏程度检测设备[J]. 吉林大学学报(工学版), 2012, 42(01): 57-62.
Viewed
Full text


Abstract

Cited

  Shared   
  Discussed   
No Suggested Reading articles found!